ნეპერის რიცხვი

NPLG Wiki Dictionaries გვერდიდან
გადასვლა: ნავიგაცია, ძიება

ნეპერის რიცხვი –რიცხვი Neperis ric001.png მათემატიკური მუდმივა, ნატურალური ლოგარითმის ფუძე, ირაციონალური და ტრანსცენდენტური რიცხვი, რაც პირველად ფრანგმა მათემატიკოსმა შ. ერმიტმა დაამტკიცა (1873). აღინიშნება ლათინური ასოთი „e“. e რიცხვს სახელი ეწოდა შოტლანდიელი მათემატიკოსის ჯ. ნეპერის პატივსაცემად, რაც ნაკლებად არის დასაბუთებული. იგი შეიძლება განისაზღვროს სხვადასხვა მეთოდებით:


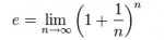
როგორც ზღვარი:


Magaliti 1.JPG


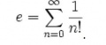
როგორც მწკრივის ჯამი:


Magaliti 2.JPG


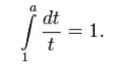
როგორც ერთადერთი რიცხვი t, რომლისთვისაც სრულდება პირობა:


Magaliti 3.JPG


როგორც ერთადერთი დადებითი a რიცხვი, რომლისთვისაც მართებულია გამოსახულება:


Magaliti 4.JPG


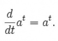
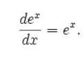
ნეპერის რიცხვს აქვს თვისება, რომ ექსპონენტის წარმოებული უტოდება თვით ექსპონენტს:


Magaliti 5.JPG


ნებისმიერი კომპლექსური z რიცხვისათვის მართებულია პირობა:


Magaliti 6.JPG


წყარო

სამშენებლო ენციკლოპედიური ლექსიკონი

პირადი ხელსაწყოები
სახელთა სივრცე

ვარიანტები
მოქმედებები
ნავიგაცია
ხელსაწყოები