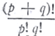
ფაილი:Valisi 003.png
NPLG Wiki Dictionaries გვერდიდან
Valisi_003.png (111 × 72 პიქსელი, ფაილის ზომა: 9 კბ, MIME ტიპი: image/png)
ფაილის ისტორია
დააწკაპუნეთ თარიღზე/დროზე, რათა იხილოთ ფაილი, როგორც ის მაშინ გამოიყურებოდა.
| თარიღი/დრო | მინიატიურა | განზომილებები | მომხმარებელი | კომენტარი | |
|---|---|---|---|---|---|
| მიმდინარე | 15:53, 26 იანვარი 2026 | ![]() | 111 × 72 (9 კბ) | Tkenchoshvili (განხილვა | წვლილი) |
- ამ ფაილის რედაქტირებისას გამოიყენეთ გარე პროგრამა (დაწვრილებითი ინფორმაციისთვის იხილეთ ჩადგმის ინსტრუქციები)
ფაილის გამოყენება
მომდევნო გვერდი ებმის ამ ფაილს:
