ვალისი ჯონი

NPLG Wiki Dictionaries გვერდიდან
გადასვლა: ნავიგაცია, ძიება
ჯონ ვალისი

ჯონ ვალისი (ინგლ. John Wallis; 23 ნოემბერი (3 დეკემბერი) 1616 — 28 ოქტომბერი (8 ნოემბერი) 1703), ინგლისელი მათემატიკოსი;

ჯონ ვალისი დაიბადა 1616 წელს ქენტში (ინგლისი). მამა მღვდელი იყო და შვილსაც სასულიერო განათლება მიაღებინა; ჯონიმაც სამოღვაწეოდ პირველად მღვდლობა აირჩია. მართალია, ვალისს კლასიკური განათლება კარგი ჰქონდა, მაგრამ არითმეტიკას იგი შემთხვევით გაეცნო და მუშაობდა დასვენების დროს პირადი სიამოვნებისათვის. ვალისის რიცსვების დამახსოვრების არაჩვეულებრივი უნარი ჰქონდა. ერთ უძილო ღამეს მან აზრით გამოთვალა 53-ნიშნიანი რიცხვიდან კვადრატული ფესვის 27 ციფრი და დილით გაიმეორა. ვალისი მათემატიკაში ეწეოდა თვითგანვითარებას და კითხულობდა მათემატიკურ ნაშრომებს, რომლებსაც ის შემთხვევით წააწყდებოდა ხოლმე. პირველად გაეცნო კავალიერის უსასრულოდ მცირეთა აღრიცხვის საკითხებს, შემდეგ კი დეკარტის „გეომეტრიას“,ხოლო ძველი საბერძნეთის მათემატიკოსების ნაშრომებს გაეცნო უფრო გვიან. რამდენიმე წლის შემდეგ მან მღვდლობას თავი დაანება და კემბრიჯში მოეწყო უმცროს მასწავლებლად; მალე მან ამ თანამდებობაზეც უარი თქვა, დაქორწინდა და რამდენიმე ხანი ცხოვრობდა ლონდონში საკუთარი სახსრებით. აქ ვალისი მეცნიერთა წრეში მოექცა და განაგრძო მათემატიკაში მუშობა. მონაწილეობას იღებდა პოლიტიკურ ცხოვრებაშიც, თუმცა პოლიტიკაში მას უპრინციპობა ახასიათებდა: რევოლუციონერებთანაც კარგად იყო და რეაქციონერებთანაც. 1649 წელს ვალისი პროფესორი გახდა და ოქსფორდში მიიღო გეომეტრიის კათედრა. ამ თანამდებობასთან ერთად მან მიიღო მეფის სასახლის მღვდლის თანამდებობაც. ვალისი აგრეთვე გამოჩენილი ლინგვისტიც იყო.

ვალისის მთავარი ნაშრომი: „უსასრულო სიდიდეთა არითმეტიკა“ გამოქვეყნდა 1665 წელს. იმ გამოსახვის გამოთვლა, რომელსაც ჩვენ ახლა ვწერთ Valisi 1.png სახით, ვალისს მოჰყავს


Valisi 2.png

Valisi naxazi.png გამოთვლამდე, როდესაც m უსაზღვროდ იზრდება და იმავე დროს მნიშვნელის წევრთა რიცხვზე ყოველთვის 1-ით ნაკლები რჩება. n = 2 და n = 3 მნიშვნელობებისათვის ვალისი თანდათანობით იღებს m-ის მეტ და მეტ მნიშვნელობებს და ინდუქციური ხერხით გვიჩვენებს, რომ წილადი უდრის Valisi 3.png-ს მიმატებული ის სიდიდე, რომელიც m-ის გადიდებით ყოველ მოცემულ სიდიდეზე ნაკლები ხდება.

ეს შედეგი მან გაავრცელა n-ის წილად და უარყოფით მნიშვნელობებზე და ჩაატარა ისე, რომ წილადი და უარყოფითი მაჩვენებლების აღნიშვნები არ გამოუყენებია.

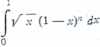
შესანიშნავია ვალისის π-ის გამოთვლის მეთოდი. ეს საკითხი მას მიჰყავს Valisi 4.png- ის გამოთვლისაკენ, ესე იგი ისეთი ინტეგრალისა, რომელიც ერთის ტოლი დიამეტრით ნახევარი წრის ფართობს წარმოადგენს და ამის გამო Valisi 6.png-ს უდრის:


Valisi 7.png


ვალისმა ამას საფუძვლად დაუდვა ის რომ, როცა y=xn, მაშინ


Valisi 8.png


ეს ორი ინტეგრალი წარმოადგენს ორ ფართობს, რომლებზედაც პარაბოლა y=xn გაჰყოფს xy მართკუთხედს. მეორე ფართობს მივიღებთ, თუ xy-ს გამოვაკლებთ პირველს.

ვალისი იწყებს იქედან, რომ კოეფიციენტებს ალაგებს xy-თან ინტეგრალებში Valisi 9.png ტაბულის სახით, რომლისსვეტები შეესაბამება p მაჩვენებლის მნიშვნელობებს 0, 1, 2, 3,..., ხოლო სტრიქონები q-ს მნიშვნელობებს 1, 2, 3, ...

ტაბულა ასე იწყება


Valisi naxazi 2.png


Valisi 01.png გამოთვლას ვალისი იწყებს Valisi 02.png-ის გამოთვლიდან, სადაც n მთელი დადებითი რიცხვია. ვალისი პოულობს:


Valisi 03.png


და ასე შემდეგ; ვალისი, მისთვის ჩვეული ინდუქციის საშუალებით, დაასკვნის, რომ საზოგადოდ, როდესაც მთელი დადებითი რიცხვია


Valisi 04.png


Valisi 05.png მნიშვნელობის ანუ Valisi 6.png-ის განსაზღვრისათვის ეძებს მთელი დადებითი n-თვის ცნობილ Valisi 06.png სიდიდეებიდან ინტერპოლირებულ მნიშვნელობას, როდესაც Valisi 07.png,

ე.ი.

Valisi 08.png

ანუ

Valisi 09.png


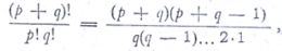
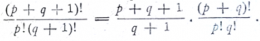
აღნიშვნა ― მათემატიკაში შემოიყვანა უფრო გვიან ვილერმა და ამიტომ ვალისი Valisi 001.png სიდიდეს აღნიშნავს ნაკვთით Valisi 6.png . სიდიდეები Valisi 002.png, რომელთა შორის უნდა მოხდეს ინტერპოლირება, ბინომიალური კოეფიციენტებია, სახელდობრ შუა წევრის კოეფიციენტები, როდესაც მაჩვენებელი 21-ის ტოლია. ყველა ბინომიალური კოეფიციენტი ანუ რიცხვი, რომლებსაც ახლა ჩავწერთ Valisi 003.png სახით და რომლებსაც ვალისი ინტერპოლაციისათვის იყენებს, ძირითადად მოცემულია პასკალის ტაბულაში (არითმეტიკული სამკუთხედის შესახებ ნაშრომში). ამ ტაბულებს ვალისი აფართოებს, სვამს რა p და q-ს მთელ დადებითმნიშვნელობებიან სტრიქონებსა და სვეტებში კიდევ ახალ სტრიქონებს და სვეტებს, რომლებიც შეესაბამებიან მნიშვნელობებს Valisi 004.png და აფართოებს მათ შექცეული მხრითაც, უმატებს რა სტრიქონს Valisi 005.png და სვეტს Valisi 006.png გაფართოებული ტაბულის ახალი რუბრიკები თანდათან ივსება რიცხვებით, რომლებსაც ვალისი ადგენს საწყის ტაბულაში მოცემული კანონის განზოგადებით.

ვინაიდან p და q·ს მთელი და დადებითი მნიშვნელობებისათვის


Valisi 007.png


ამიტომ აქ გვაქვს ის კანონი, რომელიც გამოიყენება იმ შემთხვევებში, რომლებშიც p და q რიცხვებიდან მთელია მხოლოდ ერთი ასე მაგალითად, სტრიქონს, რომელიც Valisi 008.png შეესაბამება მნიშვნელობებს

q = 0, 1, 2, 3, 4,...

შეესაბამება რიცხვები:


Valisi 009.png


აქ გამოყენებული ხერხიდან აშკარაა, რომ


Valisi 010.png

ეს შედეგი სამართლიანია ტაბულის არა მარტო სტრიქონებისათვის, რომლებიც შეესაბამებიან p-ს სრულად შედგენილ მთელ მნიშვნელობებს, არამედ უკვე შედგენილი სტრიქონის ნაწილისათვის, რომელიც Valisi 008.png შეესაბამება. ვალისმა ის გაავრცელა აგრეთვე იმ სტრიქონის წევრებზეც, რომლებიც შეესაბამებიან q-ს წილად მნიშვნელობებს, რადგან Valisi 008.png, Valisi 011.png გვაძლევენ მოსაძებნ სიდიდეს Valisi 001.png ამიტომ სიდიდეებისათვის


Valisi 012.png

მივიღებთ სიდიდეებს


Valisi 013.png


ამ წევრებს დაკავებული აქვთ Valisi 008.png შესაბამ სტრიქონში იმ წევრების ადგილი, რომლებიც შეესაბამებიან q-ს მთელ მნიშვნელობებს.

ამის შემდეგ ვალისი სარგებლობს იმით, რომ ორ მომდევნო წევრს შორის შეფარდება კლებულობს და მიისწრაფვის 1-კენ. ამას ადგილი აქვს Valisi 008.png შესაბამი სტრიქონის ორივე მწკრივში, ვინაიდან ყოველი წევრი შედგება წინამორბედისგან Valisi 014.png სახის რიცხვზე გამრავლებით. თუ x, y, z, u ამ სტრიქონის ოთხი თანმიმდევრული წევრია, მაშინ


Valisi 015.png

საიდანაც

თუ იქ x, y, z, u სიდიდეებად ჩავთვალეთ წევრები, რომლებიც შეესაბამებიან Valisi 016.png მივიღებთ


Valisi 017.png


თუ სტრიქონზე სვლას განვაგრძობთ, მაშინ კვადრატული ფესვი ორივე გამოსახვაში, რომელთა შორის იმყოფება Valisi 018.png, მიისწრაფვის 1-კენ და მივიღებთ

Valisi 019.png


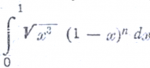
თავისი „არითმეტიკული“ მეთოდი ვალისმა გამოიყენა კისოიდითა და მისი ასიმპტოტით შემოსაზღვრული ფართობის გამოსათვლელად. ეს ამოცანა მოითხოვს Valisi 020.png ინტეგრალის გამოთვლას, ვალისი იწყებს გამოთვლას უფრო ადვილი ინტეგრალისას Valisi 020.png (ახლა ამ ინტეგრალს ადვილად ვხსნით რაციონალიზაციის ხერხით:


Valisi 022.png


ამისათვის ვალისმა ჯერ გამოთვალა Valisi 023.png, როდესაც n = 0, 1, 2, 3, 4,..., და შედეგების არითმეტიკული გარდაქმნებისა და მისი ინდუქციის საშუალებით იპოვა, რომ


Valisi 024.png


ამ ფორმულის გამოყენებით, როდესაც Valisi 008.png, ვალისმა მიიღო


Valisi 0001.png


შემდეგ მან გამოთვალა Valisi 0002.png როდესაც n = 0, 1, 2, 3, 4 და ამ ინტეგრალის მნიშვნელობებისაგან ჩვეულებრივი ინდუქციის საშუალებით მიიღო, რომ


Valisi 0003.png


ეს კი, როდესაც Valisi 0004.png გვაძლევს


Valisi 0005.png


ესე იგი საძიებელი ფართობი სამჯერ მეტია იმ წრის ფართობზე, რომელიც აღებულია ცისოიდის აგების დროს (ახლანდელი ხერხით ეს ინტეგრალი ასე ამოიხსნება:


Valisi 0006.png


ვალისი დამტკიცებებში სათანადო სიმკაცრეს არ იცავდა, მაგრამ თავისი მეთოდით მაინც ბევრი რამ გააკეთა. ინტეგრების დარგში რეკურენტული ფორმულები მან მიიღო ინდუქციისა და ანალოგიის მიხედვით დასკვნების საშუალებით.

მათემატიკის შემდგომი განვითარებისათვის ვალისის ნაშრომებს დიდი მნიშვნელობა ჰქონდა. XVIII საუკუნის მათემატიკას ძლიერად ემჩნევა ვალისის გავლენა, რაც გამოიხატება იმაში,რომ. XVIII საუკუნის მათემატიკოსებს დასკვნები გამოჰყავთ ვალისის არასარწმუნო ხერხების მიბაძვით. მისი განზოგადებანი მათემატიკურ სიმბოლიკას შემდგომი განვითარების გზას უჩვენებდნენ.ვალისმა სავსებით მოამზადა ნიადაგი ხარისხის ცნების გაფართოე-ბისათვის, რომელიც შემდეგ ნიუტონმა გააკეთა, შემოიყვანა რა წილადი და უარყოფითი მაჩვენებლები. ნიუტონის მიერ შესრულებული ბინომის – ფორმულის გაფართოება დაკავშირებულია ვალისის გამოკვლევებთან.

ვალისი ეილერის წინამორბედია ფაქტორიალის ცნების გაფართოების საქმეში. ზღვრის ცნების განსაზღვრა პირველად ვალისმა მოგვცა: „ეს მუდმივი სიდიდეა, რომელსაც ცვლადი ისე უახლოვდება, რომ მათ შორის სხვაობა შეიძლება გახდეს ყოველ მოცემულ სიდიდეზე ნაკლები“.


წყარო

მათემატიკის ისტორია

პირადი ხელსაწყოები
სახელთა სივრცე

ვარიანტები
მოქმედებები
ნავიგაცია
ხელსაწყოები