ბაროუ ისააკ

NPLG Wiki Dictionaries გვერდიდან
გადასვლა: ნავიგაცია, ძიება

ისააკ ბაროუ – (ინგლ. Isaac Barrow; დ. ოქტომბერი, 1630 — გ. 4 მაისი, 1677) ინგლისელი მათემატიკოსი; ფილოლოგი, ღვთისმეტყველი; ნიუტონისა და ლაიბნიცის ერთ-ერთი წინამორბედი უსასრულოდ მცირეთა აღრიცხვის შემუშავებაში. მისი ძირითადი ნაწარმოებია „ლექციები ოპტიკასა და გეომეტრიაში“.

ბიოგრაფია

ისააკ ბაროუ, ვალისის მოწაფე და ნიუტონის მასწავლებელი, დაიბადა 1630 წელს ლონდონში და იქვე გარდაიცვალა 1677 წელს. მამა იყო ფართლით მოვაჭრე, გარდაიცვალა მანამდე, სანამ მისი შვილი სწავლას დაამთავრებდა. ისააკიმ სხვების დახმარებით წარჩინებით დაამთავრა კემბრიჯის უნივერსიტეტი და იმედი ჰქონდა, თუმცა ძალიან ახალგაზრდა იყო, იქვე დარჩენილიყო ბერძნული ენის პროფესორის თანამდებობაზე, მაგრამ მისი პოლიტიკური რწმენის გამო უარი ეთქვა. ი. ბაროუ ძველ ენებთან ერთად მათემატიკასაც სწავლობდა. მათემატიკას ის თვლიდა თეოლოგიაში გამოსაყენებელ საგნად; ის ამბობდა: „იმისათვის, რომ კარგი ღვთისმეტყველი იყო, უნდა იცოდე ქრონოლოგია, რომელიც მოითხოვს ასტრონომიის ცოდნას, უკანასკნელი კი – გეომეტრიის ცოდნას“.

სამშობლოში ცხოვრების ცუდმა პირობებმა ი. ბაროუ აიძულა ოთხი წელი მოგზაურობაში გაეტარებინა, იქიდან დაბრუნებისთანავე მღვდლად ეკურთხა, ხოლო, როგორც კი პოლიტიკური მდგომარეობა შეიცვალა, მაშინვე მიიღო ბერძნულ ენაში პროფესორობა ოქსფორდის უნივერსიტეტში, შემდეგ —გეომეტრიის პროფესორობა ლონდონში და დასასრულს მათემატიკის პროფესორობა კემბრიჯში. კემბრიჯის უნივერსიტეტში ბაროუმ თავის მოწაფეს — ნიუტონს —შეამჩნია მათემატიკაში არაჩვეულებრივი ნიჭი და, როდესაც ნიუტონი მესამე კურსზე გადავიდა, ბაროუ დარწმუნდა, რომ ნიუტონი მასზე ძლიერია; ამის გამო ბაროუმ კათედრის გამგებლობაზე და მათემატიკის ლექტორობაზე უარი განაცხადა და თავისი თანამდებობა ნიუტონს დაუთმო: ასეთი უჩვეულო მოქმედების მოტივად ბაროუს მოჰყავს ის, რომ თითქოს მას ძალიან ტვირთავს მღვდლის თანამდებობა; ამით ბაროუს პირველ ხანებში მატერიალურად ძალიან გაუჭირდა, მაგრამ მდგომარეობა მალე გამოუსწორდა იმით, რომ კარლოს II-მ იგი აიყვანა სასახლეში მქადაგებლად. როგორც მქადაგებელმა, ბაროუმ დიდი სახელი მოიხვეჭა თავის სამშობლომი.

სამეცნიერო საქმიანობა

ი. ბაროუ იყო გამოჩენილი მათემატიკოსი; მან თავისი მათემატიკური აღმოჩენებით დიდად შეუწყო ხელი მათემატიკის განვითარებას. უნივერსიტეტში მასწავლებლობის დროს დაწერა მეტად მნიშვნელოვანი ნაშრომი: „ლექციები მათემატიკაში“. ამ ნაშრომს დიდი მნიშვნელობა აქვს უსასრულოდ მცირეთა აღრიცხვის წინა ისტორიისათვის.

ნახაზი 1

ბაროუმ ამ შრომაში მკაცრად დაამტკიცა ურთიერთშექცეულობა იმ ამოცანებისა, რომელნიც ახლა ამოიხსნებიან დიფერენცირებისა და ინტეგრების საშუალებით და გვიჩვენა ამ შექცეულობის გამოყენება ეგრეთ წოდებულ მხებებზე შექცეული ამოცანების ამოხსნისადმი. დიფერენციალური აღრიცხვის ძირითად ამოცანას, ე. ი. მრუდისადმი მხების გავლების ამოცანას, რომელიც ნებისმიერი მრუდისათვის პირველად ბაროუმ ამოხსნა, ის გადმოგვცემს შემდეგნაირად.

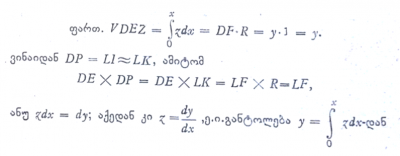
მოცემულია ნებისმიერი მრუდი ZGE თავისი VD ღერძით (ნახ. 1). ვთქვათ, VZ, PG და DE მართობები ანუ ორდინატები როგორმე – იზრდებიან. დავუშვათ, რომ კიდევ მეორე ნებისმიერი მრუდი VIF ისეთი თვისებისაა, რომ DF-ზე რომელიმე მოცემულ R მონაკვეთზე აგებული მართკუთხედის ფართობი ტოლია მრუდის რკალითა და ღერძით შემოსაზღვრული VDEZ ფართობისა. ამის გარდა, დავუშვათ, რომ ადგილი აქვს ტოლობას: DE:DF=R:DT. მაშინ, თუ TF წრფეწირი მხები იქნება VIF მრუდისადმი.ამის დასამტკიცებლად ბაროუმ VIF მრუდზე აიღო რომელიმე I წერტილი ჯერ F წრტილის მარცხნივ V წერტილის მიმართ და გაავლო IG წრფე VZ წრფის პარალელურად და KI წოფე VD პარალელურად.



მაშინ

LF: LK = DF: DT = DE: R.

ანუ

LF X R = LK X DE.

მაგრამ

LF X R = PDEG ფართობს,

თანახმად მრუდის თვისებისა, რომელსაც ბაროუ პირობით ანიჭებს VIF მრუდს. მაშასადამე, LK X DE = PDEG < DP X DE. აქედან გამომდინარეობს, რომ LK < DP ანუ LK < LI.

შემდეგ ბაროუმ I წერტილი აიღო F წერტილის მარჯვნივ და იგივე მსჯელობით დაამტკიცა, რომ LK > LI. აქედან დაასკვნის, რომ TKEK წრფე მთლიანად იმყოფება VIFI მრუდის შიგნით ან გარეთ. ამასთანავე დასძენს, რომ თუ ორდინატები განუწყვეტლად მცირდება, მაშინაც იგივე დასკვნას მივიღებთ.

დასასრულს, ბაროუ შენიშნავს, რომ DE X DT = ფართ. VDEZ (ეს გამომდინარეობს ტოლობებიდან: DE : DF = R : DT და DF X R = ფართ. VDEZ).

უნდა ვიგულისხმოთ, რომ აქ DP მარცხნიდან და მარჯვნიდან აღებულია მეტად მცირე; მაშინ KLF სამკუთხედი, რომლის ზღვარია ILF სამკუთხედი, დამახასიათებელი ანუ, როგორც ბაროუ უწოდებს, „დიფერენციალური“ სამკუთხედია და მხების განსაზღვრის ამოცანა დაყვანილია მცირე ნაზრდების FL და KL შეფარდების ზღვრის მოძებნამდე, რასაც ბაროუ აკეთებს მთელ რიგ მაგალითში ალგებრული გზით.

ბაროუს მსჯელობა ახლანდელ მათემატიკურ ენაზე შეიძლება ასე გადმოვცეთ: დავუშვათ, რომ VD = x; DP = dx, DF = y; FL = dy; DE = ౽; R = 1 და ZGE მრუდის განტოლება იყოს ౽ = f(x). ვინაიდან ფართ. PDEG პირველ შემთხვევაში ნაკლებია DP X DE-ზე და მეორე შემთხვევაში — მეტი, ამიტომ

Barou 2.png

გამომდინარეობს განტოლება Barou 3.png ეს კი არის დამოკიდებულება་ დიფერენცირებასა და ინტეგრებას შორის. გარდა ამისა, ტოლობიდან DE : DF = R : DT ვღებულობთ DI X DE = DF XR ანუ DF . Z = y ანუ მხებქვეშა Barou 4.png ე. ი. მხების განსაზღვრისათვის ბაროუმ განსაზღვრა მხებქვეშა.

ამრიგად, როგორც ვხედავთ, ბაროუ იძლევა მხების განსაზღვრის ზოგად ხერხს, ე. ი. არა მარტო რომელიმე კერძო მრუდისათვის, არამედ საერთოდ ყველა მრუდისათვის (უნდა ვიგულისხმოთ ყველა დიფერენცირებადი მრუდი).

კერძო შემთხვევისათვის, ესე იგი, ვთქვათ, პარაბოლისათვის, ბაროუს ხერხი შეიძლება თანამედროვე მათემატიკურ ენაზე გადმოცემულ იქნას ასე: ვთქვათ, მოცემულია პარაბოლი და მასზე წერტილი F (ნახ. 2) და ამ უკანასკნელზე პარაბოლისადმი გავლებულ უნდა იქნას მხები. ამისათვის ბაროუ განსაზღვრავს DT მხებქვეშას სიგრძეს. FI უსასრულოდ მცირე რკალია, რომელსაც ბაროუ წრფედ თვლის. FLI „დიფერენციალური“ სამკუთხედია (მართკუთხოვანი), რომლის კათეტები FL და LI აბსცისებისა და ორდინატების სხვაობებია და მათ ბაროუ შესაბამისად აღნიშნავს: FL = e, LI = a; FLI და TFD სამკუთხედების მსგავსებიდან გამომდინარეობს, რომ


Barou 5.png

ამ შეფარდებას პირველად ბაროუმ უწოდა მხების „კუთხური კოეფიციენტი“.

y² = qx პარაბოლის განტოლებაში ჩავსვათ I წერტილის კოორდინატები (x + e და y + a), მივიღებთ (y + a)² = q(x + e), აქედან კი

Barou 6.png

a, როგორც უსასრულოდ მცირე შესაკრები, ჩამოცილდება და განტოლებიდან

Barou 7.png

მივიღებთ მხების კუთხურ კოეფიციენტს

Barou 8.png

აქედან მხებქვეშა

Barou 9.png

ი. ბაროუს მთავარი მიზანი იყო, როგორც თვითონ ამბობს მისი მეთოდის გამოყენება არა მხებებზე პირდაპირი ამოცანები, სადმი (ანუ მოცემული მრუდისადმი წერტილზე მხების განსაზღვრისადმი), არამედ, პირიქით, მხებებზე შექცეული ამოცანებისადმი; მხებებზე შექცეული ამოცანა მდგომარეობს ისეთი მრუდების განსაზღვრაში, რომლებისადმი ყველა მხებს უნდა ჰქონდეს მოცემული თვისება. ბაროუმ მრავალი ამოცანა ამოხსნა; მათ შორის ზოგიერთი არის მხებებზე შექცეული ამოცანა, ზოგი კი ისეთი სახითაა მოცემული, რომ თანამედროვე მათემატიკურ ენაზე ისინი გამოისახებიან დიფერენციალური განტოლებებით.

ი. ბაროუ ნიუტონისა და ლაიბნიცის წინამორბედია დიფერენციალური და ინტეგრალური აღრიცხვის გამოგონების საქმეში.


წყარო

მათემატიკის ისტორია

პირადი ხელსაწყოები
სახელთა სივრცე

ვარიანტები
მოქმედებები
ნავიგაცია
ხელსაწყოები