ნეპერი ჯონ

NPLG Wiki Dictionaries გვერდიდან
გადასვლა: ნავიგაცია, ძიება

ნეპერი ჯონ – (1550 – 1617), შოტლანდიელი მათემატიკოსი.

XVI საუკუნის მათემატიკოსმა შტიფელმა ნიადაგი მოუმზადა ლოგარითმების გამოგონებას. შტიფელის იდეის განვითარებამ ნეპერი და ბიურგი, ერთმანეთისაგან დამოუკიდებლად, ლოგარითმების გამოგონებამდე მიიყვანა.

ნეპერი დაიბადა 1550 წელს ქ. მერჩისტონში, მემამულის ოჯახში (როდესაც ის დაიბა და, მამამისი 16 წლის იყო). საზღვარგარეთ მოგზაურობის დროს გაეცნო რეგიომონტანუსის ტრიგონომეტრიულ ნაშრომებს. ნეპერი პირველად ღვთისმეტყველებაში მუშაობდა და მისი ნაშრომიც ამ დარგში გადაითარგმნა გერმანულ და ჰოლანდიურ ენებზე. მუშაობდა აგრეთვე სამხედრო და სამიწათმოქმედო იარაღების გამოგონებაზე; 1614 წელს გამოქვეყნდა მისი „განსაცვიფრებელი ლოგარითმების ტაბულების აღწერა“, რომელშიც მოცემულია ლოგარითმების ტაბულის ხმარების ახსნა-განმარტება. ნეპერის სიკვდილის (1617 წელი) ორი წლის შემდეგ გამოსცეს კიდევ მეორე ნაშრომი „განსაცვიფრებელი ლოგარითმების ტაბულების აგება“. ხერხი, რომლითაც ნეპერი ლოგარითმების ტაბულებს განსაზღვრავს, ქმნის საუკეთესო დამხმარე საშუალებას გამოთვლებისათვის და ამავე დროს შეიცავს უსასრულოდ მცირეთა აღრიცხვის იდეის ჩანასახს. ლოგარითმების განსაზღვრაში ნეპერის აზრთა მსვლელობა შეიძლება ასე გადმოვცეთ:

ვთქვათ, AE წრფე (ნახ. 1) განსაზღვრული სიგრძისაა, სოლო A′D′ წრფე უსასრულოა. დავუშვათ, რომ ამ წრფეებზე ორი წერტილი ერთდროულად იწყებს მოძრაობას; ერთი მოძრაობს A-დან E-კენ, მეორე კი გამოდის A′-დან და მოძრაობს A′D′-ზე. დავუშვათ, რომ მათი მოძრაობის სიჩქარე პირველ მომენტში ერთი და იგივეა, A′D′ წრფეზე წერტილის მოძრაობა იყოს თანაბარი, ხოლო AE წრფეზე მოძრავი წერტილის სიჩქარე ყოველ მომენტში ისე შეეფარდება A′D′ წრფეზე მოძრავი წერტილის სიჩქარეს, როგორც AE წრფეზე ყოველ მომენტში წერტილის მიერ გაუვლელი მანძილი შეეფარდება მთელ მანძილს; ესე იგი AE წრფეზე მოძრავი წერტილის სიჩქარე კლებულობს. თუ AE წრფეზე წერტილი გაივლის AC მანძილს იმ დროს, როდესაც A′D′ წრფეზე წერტილი გაივლის A′C′ მანძილს, მაშინ A′C′-ს ნეპერი უწოდებს CE-ს ლოგარითმს. ნეპერის აზრის ნათელსაყოფად ორივე წრფეზე მოძრავი წერტილების საწყისი სიჩქარე აღვნიშნოთ υ-თი. დავუშვათ,

ნახ. 1.

Abcd.png





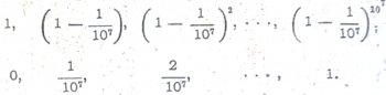
რომ υ=AE და ის ძალიან დიდია. წამი გავყოთ υ ნაწილად, ე. ი. დროის თითოეული მომენტი უდრის Vvv.png-ს. რადგან A′D′ წრფეზე წერტილის მოძრაობა თანაბარია, ამიტომ თითოეულ მომენტში ის გაივლის Vvi.png მანძილს. AE წრფეზე წერტილი იწყებს მოძრაობას იმავე υ=AE სიჩქარით, ხოლო პირველი მომენტის დასასრულს ანუ B წერტილზე მისი სიჩქარე აღვნიშნოთ υ′-ით, მეორე მომენტის დასასრულს ანუ C წერტილზე — υ′′-ით, მესამე მომენტის დასასრულს ანუ D წერტილზე — υ′′′-ით და ასე შემდეგ. პირველი მომენტის განმავლობაში AE წრფეზე წერტილი გაივლის მანძილს, რომელიც ძალიან ახლოა ერთთან და გაუვლელი მანძილი ამ წრფეზე იქნება


Logaritm 11.png


მაშინ AE წრფეზე წერტილის სიჩქარე υ′ განისაზღვრება ტოლობიდან Dddd.png. მეორე მომენტის განმავლობაში AE წრფეზე წერტილის სიჩქარე ძალიან მცირედ განსხვავლება V=v=v.png-გან, ამიტომ განვლილი მანძილი BC იქნება Dro 1.png გამრავლებული SiCqare.png. მეორე მომენტის დასასრულს გაუვლელი მანძილი იქნება


Cev.png



მეორე მომენტის დასასრულს AE წრფეზე წერტილის სიჩქარე υ′′ განისაზღვრება ტოლობიდან Gan toloba .png; ე.ი. Toloba 2.png. მესამე მომენტის განმავლობაში AE წრფეზე წერტილის სიჩქარე ძალიან მცირედ განსხვავდება Toloba 4.png სიდიდისაგან, ამიტომ მესამე მომენტის განმავლობაში განვლილი მანძილი იქნება Toloba 5.png; მესამე მომენტის დასასრულს გაუვლელი მანძილი იქნება


Toloba 6.png


ამგვარად, რომელიმე υ-ური მომენტისათვის გაუვლელი მანძილი იქნება


Toloba 7.png


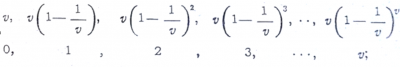
საბოლოოდ შეგვიძლია დავწეროთ ორი პროგრესია: პირველი — გეომეტრიული, მეორე — არითმეტიკული.


Progresia 1,2.png


გეომეტრიული პროგრესიის წევრებია AE წრფეზე წერტილის მიერ მიმდევრობითი მომენტების დასასრულს გაუვლელი მანძილები, ხოლო არითმეტიკული პროგრესიის წევრებია A'D' წრფეზე წერტილის მიერ განვლილი მანძილები შესაბამი დროის მომენტების დასასრულს. არითმეტიკული პროგრესიის წევრებს ნეპერმა უწოდა შესაბამისად გეომეტრიული პროგრესიის წევრების ლოგარითმები ანუ „ლოგოს არითმოს“ (შეფარდებათა რიცხვები). ნეპერის ამ აზრთა მსვლელობაში ადვილად შევამჩნევთ უსასრულოდ მცირეთა აღრიცხვის იდეის ჩანასახს. მართლაც, თუ A'D' წრფეზე მოძრავი წერტილის მანძილს D' წერტილამდე აღვნიშნავთ x-ით და AE წრფეზე მოძრავი წერტილის მანძილს E წერტილამდე — y-ით, მაშინ ამ წერტილების სიჩქარეთა შეფარდება რომელიმე მომენტში იქნება Dy.png და მივიღებთ

Dy 2.png


ხოლო ზემოაღნიმნული პროგრესიები —


Progresiebi.png


როგორც ვხედავთ, 107-ის ნეპერის ლოგარითმი ნულს უდრის. წინამორბედი განტოლებიდან ვღებულობთ ნეპერისა და ნატურალურ ლოგარითმებს შორის დამოკიდებულებას: x=ნეპერის ლოგარითმს y=107 X ნატურ. ლოგარითმი Natur log.png ნეპერი სრულებით არაფერს არ ამბობს ლოგარითმების ფუძის შესახებ; ის მხოლოდ ორი პროგრესიის — არითმეტიკულისა და გეომეტრიულის — ერთმანეთთან შედარების შესახებ გვეუბნება. იმისათვის, რომ გავარკვიოთ, თუ რომელი რიცხვია ნეპერის ლოგარითმების ფუძე, საჭიროა ორივე პროგრესიის ყველა წევრი გავყოთ 107-ზე, რის შემდეგ მივიღებთ ჩვენს რიცხვებს და მათ ლოგარითმებს:


LogariTmi 3.png


როგორც ვხედავთ, ნეპერის ლოგარითმების სისტემაში ფუძეა FuZe.png რომელიც დაახლოებით 1 e.png-ს უდრის, სადაც c=2,718281... ესე იგი ნეპერის ლოგარითმების ფუძე დაახლოებით უდრის ნატურალური ლოგარითმების ფუძის შექცეულ სიდიდეს.

ნეპერის უახლესი მიზანი იყო ტრიგონომეტრიულ ფუნქციათა მიღება. AE=υ=10 არის წრის რადიუსი; თუმცა ტრიგონომეტრიული ტაბულების გამოთვლის დროს რადიუსი ერთის ტოლად იყო ჩათვლილი და ტრიგონომეტრიულ ფუნქციათა გამოთვლა წარმოებდა ერთეულის ნაწილებში, მაგრამ ნაწილებს ნეპერი წერდა მთელი რიცხვების სახით.


წყარო

მათემატიკის ისტორია

პირადი ხელსაწყოები
სახელთა სივრცე

ვარიანტები
მოქმედებები
ნავიგაცია
ხელსაწყოები