ფერმა პიერ

NPLG Wiki Dictionaries გვერდიდან
გადასვლა: ნავიგაცია, ძიება
პიერ ფერმა

პიერ ფერმა (1601 – 1665) — მე-17 საუკუნის ერთ-ერთი უდიდესი ფრანგი მათემატიკოსი: საფუძველი ჩაუყარა რიცხვთა თეორიას, შეისწავლიდა გეომეტრიას, ალგებრას, მათემატიკურ ანალიზს; დეკარტთან ერთად დააფუძნა ანალიზური გეომეტრია; რიცხვთა თეორიაში აღიარებულია მისი ორი თეორემა — ფერმას დიდი და მცირე თეორემა.

სარჩევი

პიერ ფერმა — „მოყვარული“ მათემატიკოსი და მისი ეპოქა

პიერ დე-ფერმა დაიბადა 1601 წელს მონტობანში (საფრანგეთი), ვაჭრის ოჯახში. სწავლობდა ტულუზში იურიდიულ მეცნიერებას; რამდენიმე წელი იქ ადვოკატად მუშაობდა, შემდეგ კი იქვე პარლამენტის მრჩეველად დაინიშნა. ამ თანამდებობაზე დარჩა მთელი თავისი სიცოცხლე. აქ მას საკმაო დრო რჩებოდა მეცნიერული მუშაობისათვის. მათემატიკის ყველა დარგში ფერმამ უაღრესად მნიშვნელოვანი შედეგები მიიღო. ის კარგად იცნობდა ძველი თაობის მათემატიკას, რაც ხშირად ფერმას გამოკვლევების გამოსავალ წერტილს წარმოადგენდა. რიცხვთა თეორიაში მისი მუშაობის შედეგები ცნობილი გახდნენ იმ დროის მათემატიკოსებისადმი გაგზავნილი წერილებისა და დიოფანტეს ნაშრომებზე გაცემულ ბაშეს შენიშვნების წყალობით. მათემატიკის სხვა დარგში თავის შედეგებს ფერმა ხშირად უგზავნიდა პარიზის მათემატიკოსებს და ამგვარად ისინი ცნობილი ხდებოდნენ არა მარტო საფრანგეთში, არამედ უცხოეთშიც. თავის სიცოცხლეში ფერმამ გამოაქვეყნა ნაშრომების მხოლოდ ნაწილი და ისიც მეგობრების დაჟინებითი მოთხოვნის შემდეგ. ფერმას დანარჩენი ნაშრომები მრავალ მეცნიერულ წერილებთან ერთად 1679 წელს გამოსცა მისმა შვილმა სათაურით „სხვადა-სხვა თხზულებები“. უფრო გვიან კი გამოიცა ფერმას ნაშრომების სრული კრებული: „ფერმას თხზულებები“. დიდი გავლენა მოახდინა ფერმამ მათემატიკის ყველა დარგზე: რიცხვთა თეორიაზე, გეომეტრიასა და ალგებრაზე. დიდი მნიშვნელობა ჰქონდა აგრეთვე ფერმას შრომებს დიფერენციალური აღრიცხვის შექმნისათვის.

ფერმასა და დეკარტის დაპირისპირება: „დიოპტრიკიდან“ შერიგებამდე

1637 — 1638 წლებში ფერმასა და დეკარტს შორის პოლემიკამ მწვავე ხასიათი მიიღო. ფერმამ მკაცრად გააკრიტიკა დეკარტის „დიოპტრიკა“ და მასთან ერთად გაუგზავნა დეკარტს თავისი ნაშრომი „მაქსიმუმებისა და მინიმუმების შესახებ“. ამ ნაშრომში ფერმა ფაქტიურად აწარმოებს ოპერაციას, რომელსაც ახლა დიფერენცირება ეწოდება, და იყენებს მას არა მხოლოდ მაქსიმუმსა და მინიმუმზე ამოცანების ამოსახსნელად, არამედ მრუდისადმი მხების გავლების ამოცანების ამოსახსნელადაც. დეკარტიმ ცხარე და არასამართლიანი კრიტიკით უპასუხა ფერმას. ამ დავაში ფერმას მხარეზე გამოდიოდნენ რობერეალი და პასკალი. მოდავენი მაინც მორიგდნენ მერსენის შუამავლობით და თვით ფერმას შემარიგებლური ქცევით. როგორც გადმოგვცემენ, ფერმამ ამ დავაში გამოავლინა თავისი თავი ისეთ ადამიანად, რომელიც თავისუფალია ყოველგვარი წვრილმანი მედიდურობისაგან.

ანალიზური გეომეტრიის დაფუძნება და კოორდინატთა მეთოდი

დეკარტთან ერთდროულად, მაგრამ სრულიად დამოუკიდებლად, ფერმასაც შემოჰყავს კოორდინატები. ეს აშკარად ჩანს მისი ნაშრომიდან „Jsagoge“: „...ამიტომ ჩვენ გამოვიყენებთ მეცნიერების ამ დარგისადმი (სახელდობრ, ადგილებზე მოძღვრებისადმი) საგანგებოდ და მისთვის შესაფერ ანალიზს იმისათვის, რომ მომავალში მისი შესწავლა ყველასათვის მისაწვდომი იყოს.

თუ რომელიმე დასკვნით განტოლებაში გვაქვს ორი უცნობი სიდიდე, მაშინ გვაქვს ადგილი და ერთი სიდიდის ბოლო წერტილი შემოხაზავს წრფეს ან მრუდ წირს...

მაგრამ განტოლებებს შეგვიძლია მივცეთ თვალსაჩინო სახე, თუკი ორივე უცნობ სიდიდეს მოვათავსებთ რომელიმე მოცემულ კუთნეში, რომელსაც, მეტ ნაწილად, მივიღებთ მართი კუთხის ტოლად, და თუ მოცემულია მდებარეობა და ერთ-ერთი სიდიდის ბოლო წერტილი...

NZM იყოს მდებარეობით მოცემული წრფე (ნახ. 15) და მასზე უცვლელი N წერტილი. ვთქვათ, NZ უდრის A უცნობ სიდიდეს და ZI მონაკვეთი, რომელიც მასთან ქმნის მოცემულ NZI კუთხეს, მეორე უცნობი სიდიდის ტოლია. თუ შემდეგ DA-ზე უდრის B-ს E-ზე, მაშინ I წერტილი იმყოფება მდებარეობით მოცემულ წრფეზე. მართლაც, როგორც B შეეფარდება D-ს, ისე A შეეფარდება E-ს. ამიტომ A-ს E-სთან შეფარდება მოცემულია (უცვლელია), გარდა ამისა, მოცემულია Z-თან კუთხე, ამიტომ NIZ სამკუთხედის სახე ცნობილია და, მაშასადამე, INZ კუთხეც, მაგრამ N წერტილი მოცემულია და NZ წრფე მდებარეობით ცნობილია. მაშასადამე, NI-ის მდებარეობა მოცემულია და სინთეზის მოხდენა ადვილია.

ნახაზი 15

ამ განტოლებამდე შეიძლება დაყვანა ყველა განტოლებისა, რომელთა წევრები ნაწილობრივ მოცემულია, ნაწილობრივად შეიცავენ A და E უცნობებს, დამოუკიდებლად იმისა, გამრავლებულია ეს უკანასკნელი სიდიდეები რომელიმე მოცემულ სიდიდეებზე, თუ მოცემულია უბრალოდ.

ვთქვათ Z pl. -D A-ზე უდრის B-ს E-ზე. თუ და-ვუშვებთ, რომ D R-ზე ტოლია Zpl.-ის, მაშინ როგორც B შეეფარდება D-ს, ისე R — A შეეფარდება E-ს. თუ ჩვენ მივიღებთ, რომ JIN ტოლია R-ის, მაშინ M წერტილი მოცემული იქნება და, მაშასადამე, MZ უდრის R — 1-ს. ამიტომ ცნობილია MZ-ის ZI-თან შეფარდება. მაგრამ რაკი Z-თან კუთხე ცნობილია, ამიტომ IZM სამკუთხედის სახე ცნობილია და დავასკვნით, რომ MI წრფე მდებარეობით მოცემულია. მაშასადამე, I წერტილი მდებარეობით მოცემულ წრფეზე იმყოფება. იგივე ადვილად მიიღება ყოველი განტოლებისათვის. რომელშიც წევრები გვხვდება A და E სიდიდეებით.

ეს არის ადგილის მარტივი და პირველი განტოლება, რომლის დახმარებით შესაძლებელია ყველა წრფივი ადგილის პოვნა“.

როგორც ვხედავთ, აქ ფერმას წამოყენებული აქვს დებულება იმის შესახებ, რომ ორუცნობიანი პირველი ხარისხის განტოლება წრფეს წარმოადგენს და გვაძლევს აგრეთვე ამ დებულების დამტკიცებასაც. ამ მიზნისათვის მან აიღო ერთი ღერძი აბსცისებისათვის და მასზე გამოსავალი წერტილი მათ ასათვლელად, შემდეგ ორდინატთა მიმართულება, რომლებიც გაავლო აბსცისათა ღერძის ყოველი შესაბამი წერტილიდან ცალ-ცალკე; ვინაიდან მას ორდინატთა ღერძი ჯერ კიდევ არ შემოუყვანია. არ შემოუყვანია აგრეთვე უარყოფითი აბსცისები და ორდინატები. ამ უკანასკნელებს იყენებდნენ, ასე ვთქვათ, შეუგნებლად, რამდენადაც ცნობილ მრუდებს მთლიანად ხაზავდნენ, არ იმტვრევდნენ რა მაზე თავს, შეიძლება თუ არა ერთისა და იმავე განტოლებით ყველა ნაწილის გამოსახვა, უცნობი მრუდის შემთხვევაში ხშირად აღმოცენდებოდა გაუგებრობა, თუ A და E ასოების ნაცვლად, რომლითაც ფერმა სარგებლობს, შემოვიყვანთ x და y, მაშინ ფერმას განტოლება იქნება

Dx = By oby x:y = B:D.

N წერტილი კოორდინატთა სათავეა, NI მასში გამავალი წრფეა, რომლის განტოლება სწორედ ზემომოყვანილი განტოლებაა.

ემდეგ ფერმა გვიჩვენებს, რომ ყოველი ზოგადი სახის წრფივი განტოლება წრფეს გამოსახავს. ეს განტოლებაა

Z- Dx = By;

Z pl. ნიშნავს Z planum, ესე იგი ფართობს; რადგან Dx და By ფართობებს ნიშნავენ, ამიტომ მათი ჯამიც Z ფართობი უნდა იყოს. ფერმას დაშვებით. Z = DR და განტოლება მიიღებს შემდეგ სახეს

D(R-x) = By.
მეორე ხარისხის წირები: ელიფსი, პარაბოლა და ჰიპერბოლა

ამის შემდეგ ფერმა გვაძლევს ელიფსის განტოლების პირველ ფორმას: „თუ Bq. ― Aq. აქვს Eq.-თან მოცემული შეფარდება, მაშინ წერტილი ელიფსზე იმყოფება.

ავიღოთ MN, B-ს ტოლი, და გავავლოთ ელიფსი M წვეროთი, NM დიამეტრითა და N ცენტრით (ნახ. 16), რომლის ორდინატები ZI წრფის პარალელურია და ვთქვათ, რომ ორდინატების კვადრატებს აქვს მოცემული შეფარდება დიამეტრის მონავეთებზე აგებულ მართკუთხედთან. მაშინ I წერტილი იმყოფება ასეთ ელიფსზე. მართლაც, NM-ის კვადრატს გამოკლებული NZ-oe კვადრატი ტოლია დიამეტრის მონაკვეთებზე აგებული მართკუთხედისა.

ამ განტოლებამდე მიიყვანება მსგავსი განტოლებები, რომ-ლებსაც აქვთ ერთ მხარეზე Aq., მეორეზე—Eq. საწინააღმდეგი ნიშნით, ამასთან ამ წევრებს აქვთ სხვადასხვა კოეფიციენტები. მართლაც, კოეფიციენტები რომ ერთმანეთის ტოლნი იყვნენ და კუთხე მართი, მაშინ ადგილი იქნება, როგორც უკვე ვთქვით, წრეწირი. თუკი კუთხე მართი არ არის, მაშინ ადგილი იქნება ელიფსი, როდესაც კოეფიციენტები ტოლია. ამის გარდა, თუ განტოლებაში გვაქვს კიდევ წევრები მოცემული სიდიდეების A-ზე და E-ზე ნამრავლით, მაშინ დაყვანა შეიძლება ნაჩვენები ხერხით“.

ნახაზი 16

როგორც ფერმა ამბობს, ორდინატების კვადრატებს აქვს მოცემული შეფარდება (რომელსაც აღვნიზნავთ k-თი) დიამეტრის მონაკვეთებზე აგებული მართკუთხედის ფართობთან, ესე იგი


Ferma zm.png

თუ I წერტილის კოორდინატებს x-ით და y-ით აღვნიშნავთ, მი-ვიღებთ

Ferma b x.png

ანუ

Ferma b kvadrat.png

ესე იგი ელიფსის განტოლებას ფერმა გვაძლევს შემდეგი სახით:

Ferma elifsuri gantoleba.png

ჰიპერბოლის შემთხვევაში გვაძლევს განტოლებას

Ferma hiperbola.png

ხოლო პარაბოლის შემთხვევაში

x2 = Dy და, აგრეთვე y2 = Dx.

შემდეგ ფერმა განიხილავს II ხარისხის განტოლების სხვა სახეებსაც და დაჰყავს ისინი წინათ განხილულ სახემდე კოორდინატთა ღერძების გარდაქმნის საშუალებით. იმ შემთხვევაში, როდესაც განტოლება შეიცავს xy-იან წევრს, ფერმა მაგალითზე გვიჩვენებს იმ ხერხს, რომელიც ასეთ შემთხვევაში უნდა გამოვიყენოთ.

განტოლება

2x² + 2xy + y² = a²

შეიძლება გარდაიქმნას განტოლებად

(x + y)² + x² = a².

თუ კოორდინატთა ახალ ღერძებად ავიღებო წრფეებს x + y = 0 და x = 0, მაშინ ნახაზიდან ჩანს, რომ ახალი კოორდინატები იქნება Ferma x1 udris x.png მათ შორის განტოლება იქნება

Ferma 2 a.png

ეს გამოსახავს ელიპს, რომელშიც კოორდინატთა ახალ ღერძებად შეუღლებული დიამეტრებია.

ფერმა განიხილავს აგრეთვე II ხარისხის ერთგვაროვან განტოლებას x და y შორის. მან დაუშვა, რომ ამ შემთხვევაში წირს აქვს საწყისის გარდა კიდევ ერთი წერტილი, შემდეგ გვიჩვენა, რომ ის სავსებით შეიცავს ამ წერტილის გამაერთიანებელ წრფეს ამრიგად, ფერმას ნაშრომში ჩვენ ვპოულობთ სიბრტყეზე პარალელურ კოორდინატებს შორის I და II ხარისის განტოლების სრულ გარჩევას; მაგრამ მაინც რთულ ადგილებში ფერმა იძულებულია თავისი ანალიზური გეომეტრია ააგოს ძველების გეომეტრიაზე. მართლაც, როდესაც ლაპარაკია იმაზე, რომ განტოლება

Ferma 1.png

წარმოადგენს კონუსურ კვეთს იმ შემთხვევაშიც, როდესაც კორდინატები ირიბკუთხოვანია, მაშინ აუცილებლად დაშვებულია, რომ აქ ლაპარაკია იგივე წირებზე, როგორც მართკუთხოვანი კორდინატების შემთხვევაში, ანდა რომ ყოველთვის არსებობს უსასრულო წყვილი შეუღლებული დიამეტრებისა, რომელთაგან ერთი ქმნის მართ კუთხეებს. ეს დაშვება ფერმას გადმოღებული აქვს აპოლონისაგან.

ფერმას ნაშრომიდან „შესავალი ზედაპირული ადგილების შესწავლისათვის“ ჩანს, რომ ის თავის ანალიზურ გეომეტრიას იყენებდა აგრეთვე სივრცეში გეომეტრიული ადგილების განსაზღვრისათვის. მაგრამ ის არ სარგებლობს სივრცითი კოორდინატებით, არამედ ზედაპირებს განსაზღვრავს მათი ნებისმიერ სიბრტყესთან გადაკვეთის წირთა თვისებების გამოკვლევის საშუალებით. განსაკუთრებული კმაყოფილებით აღნიშნავს ფერმა ერთ-ერთი თავისი წინადადების გავრცელებას სივრცით შემთხვევაზე: იმ წერტილთა გეომეტრიული ადგილი, რომელთა მანძილების კვადრატებს სივრცეში მოცემულ წერტილებამდე აქვს მოცემული ჯამი ანდა, უფრო ზოგად შემთხვევაში, აკმაყოფილებს პირველი ნარისნის განტოლებას, არის სფერული ზედაპირი. მართლაც, თუ ავიღებთ რომელიმე სიბრტყეზე მოცემული წერტილების გეომეტრული ადგილის წერტილებამდე. მანძილის პროექციას, მაშინ გეგმილების კვადრატები აკმაყოფილებს იმავე სახის განტოლებას. ასე რომ, სიბრტყის მიერ კვეთი იქნება წრე. ფერმა ასევე პოულობს, რომ გეომეტრიული ადგილი წერტილებისა, რომელთა მანძილები მოცემულ სიბრტყეებამდე აკმაყოფილებს პირველი ხარისხის განტოლებას, არის სიბრტყე. თუ ეს მანძილები აკმაყოფილებს მეორე ხარისხის განტოლებას, მაშინ გეომეტრიული ადგილი არის ზედაპირი, რომლის გადაკვეთა ნებისმიერი სიბრტყით არის კონუსური კვეთი ან წრფეები.

ფერმას დიდი თეორემა და რიცხვთა თეორია

აქვე უნდა მოვიყვანოთ ფერმას დიდი თეორემა, რომელიც შემდეგში მდგომარეობს: განტოლება xn + yn =スn, როცა n>2, არ ამოიხსნება მთელ რიცხვებში. ეს თეორემა ჯერ კიდევ არ არის დამტკიცებული 1-ის ყველა მნიშვნელობისათვის. მისი სიმართლე n = 3-თვის ცნობილი იყო საშუალო საუკუნოების არაბი მათემატიკოსი ალ-ხოჯანდისთვის. დამტკიცებას n = 4-თვის შეიცავს თვითონ ფერმას მიერ მოცემული თეორემის დამტკიცება: „არ არსებობს ისეთი მართკუთხა სამკუთხედი, რომლის გვერდები იყოს მთელი რიცხვები, ხოლო ფართობი — კვადრატი“. ფერმას დიოფანტეს წიგნის გვერდებზე გაუკეთებია შენიშვნა, რომ მას აქვს, მართლაც, საუცხოო დამტკიცება (n-ის ყველა მნიშვნელოზისათვის), მგრამ მინდორი იმდენად ვიწროა, რომ იქ არ დაეტევა. კუმერმა შეძლო ფერმას თეორემის დამტკიცება ყველა n < 100 მარტივი რიცხვისათვის.

ინტეგრალური აღრიცხვის საწყისები: ჰიპერბოლების კვადრატურა

როგორც უკვე აღვნიშნეთ, ფერმას შრომებს დიდი მნიშვნელობა ჰქონდათ უსასრულოდ მცირეთა ანალიზის წარმოშობის საქმეში. ამ მხრივ განსაკუთრებით მნიშვნელოვანია მისი ორი ნაშრომი:
1) „უმაღლესი რიგის ყველა ჰიპერბოლის კვადრატურა“ და
2) „მაქსიმუმებისა და მინიმუმების შესახებ“.

პირველ ნაშრომში ფერმა ამტკიცებს, რომ ფართ. EGHI + ფართ. IHON + ფართ. NOMP + ფართ. PSRM + ... = ფართ. მართკ. BG (ნახ. 17). ამისათვის ფერმა მიმართავს შეფარდებებს და ამბობს:„მე ვამტკიცებ, რომ გეომეტრიულ შეფარდებათა დახმარებით შეიძლება ვიპოვოთ ყველა ამ უსასრულოდ მრავალიჰიპერბოლის კვადრატურა, გარდა ერთისა აპოლონის ანუ პირველის – ერთნაირი და ყველასადმი გამოსაყენებელი ხერხით“. შეფარდებათა შესახებ ის წერს: „AH წრფის რომელიმე ხარისხი ისე შეეფარდება AG წრფის იმავე ხარისხს, როგორც იგივე ანუ განსხვავებული წინამორბედისაგან GE წრფის ხარისხი მეეფარდება Hl წრფის იმავე ხარისხს“; ესე იგი ადგილი უნდა ჰქონდეს შემდეგ შეფარდებას:


Ferma 2.png და ასე შემდეგ


ნახაზი 17

ან, თუ შემოვიღებთ აღნიშვნებს,


AG = X0, AG = X0,
AH = x1, HI = y1,
A0 = x2, ON = y2,
AM = x3, МР- y3,
AR = x4, RS=y4,


მაშინ დაშვების თანახმად,

x1² : x0² = y0 : y

ანუ

y1x1² = y0x0²= const,


ანდა, თუ მუდმივი ავიღეთ ერთის ტოლად, გვექნება

yx² = 1.

დავუშვათ, რომ

x1 = εx0, x2 = εx1 = ε²xo; x3 = εx3 = ... ε3x0 და ასე შემდეგ, ამასთანავე ε > 1 და იმავე დროს ისეთია, რომ


x1 — x0 = x0 (ε — 1)
x2 — x1 = x0ε (ε — 1)
x3 — x₂ = x0ε² (ε — 1)


და ასე შემდეგ, რომლებიც შეადგენენ გეომეტრიულ პროგრესიას იგივე მნიშვნელით, როგორსაც თვითონ აბსცისები, ძალიან ახლო არიან ერთმანეთთან. აქედან გამომდინარეობს:


Ferma 3.png


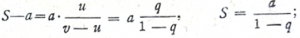
ამ თეორემას ფერმამ წაუმძღვარა გეომეტრიული პროგრესიის ჯამის შესახებ თეორემა, რომელშიც ამბობს:


(v — u) : u = a :(S — a),


სადაც a არის პირველი წევრი; Ferma 2.png – პროგრესიის მნიშვნელი, q < 1; აქედან მივიღებთ:


Ferma 6.png


აქ პროგრესიის წევრებია პარალელოგრამები EH, IO, NM... მაშასადამე,


Ferma 7.png

და, მაშასადამე,


Ferma 8.png


თუ დავუშვებთ, რომ A = 90°, მაშინ ფერმას ეს პირველი შედეგი შეიძლება ასე ჩაიწეროს:


Ferma 9.png


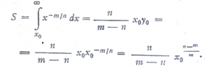
ფერმას მეორე მაგალითში yx³ = 1 და შედეგი ასეთია:


Ferma11.png


დასასრულ, ჰიპერბოლისათვის ynxm = 1 (m > 1) ფერმას ზოგადი თეორემა ამბობს, რომ


Ferma 12.png


ამ თეორემიდან აშკარაა, რომ ფერმა ნამდვილ ინტეგრებას აწარმოებს, რაც მის დიდ მიღწევად უნდა ჩაითვალოს.

დიფერენციალური აღრიცხვის წინამორბედი: მაქსიმუმებისა და მინიმუმების ძიება

უაღრესად მნიშვნელოვანია აგრეთვე ფერმას გამოკვლევები ფუნქციის მაქსიმუმისა და მინიმუმის განსაზღვრის დარგში. ამის გარკვევისათვის მივმართოთ თვითონ ფერმას მსჯელობას: „უდიდეს და უმცირეს მნიშვნელობათა გამოკვლევის მეთოდი. მთელი სწავლება უდიდეს და უმცირეს მნიშვნელობათა მოძებნის შესახებ ეყრდნობა იმას, რომ მიიღებენ ორ უცნობს და იყენებენ შემდეგ ერთადერთ წესს:

დავუშვათ, რომ A არის რომელიმე (უცნობი) გამოსაკვლევი სიდიდე — ზედაპირი ანუ სხეული, ანდა სიგრძე შესაბამისად ამოცანის პირობისა, და გამოვსახოთ მაქსიმუმი და მინიმუმი წევრებით, რომლებიც A-ს შეიცავენ ამა თუ იმ ხარისხში. შემდეგ ავიღოთ წინანდელი სიდიდისათვის მნიშვნელობა A+E და ხელახლა გამოვსახოთ მაქსიმუმი და მინიმუმი წევრებით, რომლებიც და E-ს შეიცავენ ამა თუ იმ ხარისხში. დავუშვათ, რომ ორივე ერთობლიობა, რომელიც უდიდეს და უმცირეს მნიშვნელობებს გამოსახავს,როგორც დიოფანტე ამბობს, მიახლოებით ერთმანეთის ტოლია, ორივე მხარეზე მოვაცილოთ ერთნაირი წევრები; მაშინ თითოეული წევრი მარჯვნივ ან მარცხნივ იქნება ან E, ან რომელიმე მისი ხარისხი. შემდეგ გავყოთ ყველა წევრი E-ზე ან რომელიმე მის ხარისხზე ისე, რომ ერთი წევრი მაინც რომელიმე მხარეზე სრულიად თავისუფალი იყოს E მამრავლისაგან. მერმე ორივე მხარეზე წავშალოთ ის, რომელიც E-ს ან მის ხარისხს შეიცავს, რაც დარჩება, ერთმანეთის ტოლად ჩავთვალოთ, ანდა, თუ ერთ მხარეს არაფერი დარჩება, უარყოფითი წევრები გავუტოლოთ დადებითებს. უკანასკნელი განტოლების ამოხსნა A-ს მნიშვნელობას მოგვცემს; როდესაც უკანასკნელი ცნობილია, მაშინ მაქსიმუმი და მინიმუმი მიიღება წინათ ჩატარებული ამოხსნის საფუძველზე.

ნახაზი 18

მოვიყვანოთ შემდეგი მაგალითი: AC მონაკვეთი ისე გავყოთ E წერტილით, რომ AEC მართკუთხედი იყოს უდიდესი (ნახ. 18). AC მონაკვეთი B-თი აღვნიზნოთ, B-ს ერთ ნაწილს A ვუწოდოთ, ასე რომ, მეორე ნაწილი იქნება B-A, ხოლო. მონაკვეთებზე მართკუთხედი იქნება B გამრავლებული A - Aq-ზე და მას უნდა ჰქონდეს უდიდესი მნიშვნელობა. ახლა დავუშვათ B-ს ერთი ნაწილი A + E-ს ტოლად, ასე რომ, მეორე იქნება B ― A - E და მონაკვეთებზე მართკუთხედი იქნება B გამრავლებული A — Aq + B, გამრავლებული E-ზე — 2A გამრავლებული E — Eq-ზე, რაც მიახლოებით უნდა უდრიდეს B გამრავლებული A ― Aq მართკუთხედს.

ერთნაირ წევრებს თუ მოვაცილებთ, მივიღებთ, რომ B გამრავლებული E-ზე მიახლოებით უდრის 2 A-ს გამრავლებულს E + Eq-ზე, და თუ ყველა ამას გავყოფთ E-ზე, მივიღებთ, რომ B მიახლოებით უდრის 2A-ს. ამრიგად, ამოცანის ამოხსნას წარმოადგენს B-ს შუაზე გაყოფა და ამოხსნის უფრო ზოგადი მეთოდი არც შეიძლება არსებობდეს“:

ფერმას მიერ აქ დასმული ამოცანა ასეთია: მოცემული რიცხვი (ანუ მონაკვეთი) გავყოთ ისეთ ორ ნაწილად, რომ მათ ნამრავლს (ანუ ფართობს) ჰქონდეს უდიდესი მნიშვნელობა. დამტკიცება მოკლედ შეიძლება შემდეგნაირად გადმოვცეთ: აღვნიშნოთ მოცემული რიცხვი a-თი; ერთი მისი ნაწილი x-ით აღვნიშნოთ, მაშინ მეორე იქნება a ― x; მათი ნამრავლი y = x(a - x); უნდა მოიძებნოს x-ის ის მნიშვნელობა, რომლისთვის y მიიღებს უდიდეს მნიშვნელობას. თუ x არის სწორედ ის საძებნი მნიშვნელობა, მაშინ, მივცემთ რა მას მცირე ნამატს Δx, ამით ჩვენ ძალიან ცოტათი შევცვლით y სიდიდეს. ამგვარად, (x + Δx) (a-x+Δx) თითქმის ტოლია x(a — x)-სა. თუ თითქმის ერთისა და იმავე სიდიდის ამ ორ გამოსახულებას ერთმანეთს გავუტოლებთ, მივიღებთ მიახლოებით განტოლებას

x(a - x) = (x + Δx)(a - x - Δx);
ის მიიყვანება Δx(a — 2x - Δx) = 0 სახემდე ანუ. Δx-ზე შეკვეცის შემდეგ,
a- 2x — Δx = 0.

Δx სიდიდე შეიძლება შემცირდეს და კიდეც უნდა შევამციროთ ნულამდე; პირველი წევრი a — 2x მისგან დამოკიდებული არ არის და, მაშასადამე, ისიც ნულის ტოლი უნდა იყოს. მივიღებთ განტოლებას

a - 2x = 0,

საიდანაც ვღებულობთ, რომ Ferma 22.png უდიდეს ნამრავლს გვაძლევს მოცემული რიცხვის ორი ნაწილი, როდესაც ისინი ერთმანეთის ტოლია; თუ ამ შედეგს გამოვიყენებთ გეომეტრიაში, მოცემული პერიმეტრის ყველა მართკუთხედს შორის კვადრატს უდიდესი ფართობი აქვს.

ამ მეთოდს შემდეგ ფერმა იყენებს პარაბოლისადმი მხების გასავლებად. დასასრულ ამბობს, რომ ეს მეთოდი უტყუარია და მისი საშუალებით მშვენიერი პრობლემების გადაწყვეტა შეიძლება და ამის შესახებ შესაძლებელია კიდევ გიამბოთო „თუ მექნა დასვენება“. აქედან ჩანს, რომ უაღრესად მნიშვნელოვანი პრობლემები დიფერენციალური და ინტეგრალური აღრიცხვისათვის მას მხოლოდ სამსახურიდან თავისუფალ დროს დაუმუშავებია.


წყარო

მათემატიკის ისტორია

პირადი ხელსაწყოები
სახელთა სივრცე

ვარიანტები
მოქმედებები
ნავიგაცია
ხელსაწყოები