ვალისი ჯონი

NPLG Wiki Dictionaries გვერდიდან
(სხვაობა ვერსიებს შორის)
გადასვლა: ნავიგაცია, ძიება
(მომხმარებელმა Echelidze გვერდი „ჯონი ვალისი“ გადაიტანა გვერდზე „ვალისი ჯონი“ გადამისამართებაზე)
ხაზი 1: ხაზი 1:
'''ვალისი ჯონი''' (1616-1703), ინგლისელი მათემატიკოსი; შრომები  მიძღვნილია მათემატიკური ანალიზისა და რიცხვთა თეორიის საკითხებისადმი. მისმა ნაშრომმა „უსასრულოს არითმეტიკა“ მნიშვნელოვანი როლი შეასრულა  უსასრულო მცირე სიდიდეთა აღრიცხვის შექმნაში; შეისწავლიდა ჩვეულებრივ და  პერიოდულ ათწილადებს. თვლიდა, რომ მათემატიკის საფუძველი უნდა გახდეს [[არითმეტიკა]].   
+
'''ვალისი ჯონი''' (ინგლ. John Wallis; 23 ნოემბერი (3 დეკემბერი) 1616 — 28 ოქტომბერი (8 ნოემბერი) 1703), ინგლისელი მათემატიკოსი;
 +
 
 +
ჯონ ვალისი დაიბადა 1616 წელს ქენტში (ინგლისი). მამა მღვდელი იყო და შვილსაც სასულიერო განათლება მიაღებინა; ჯონიმაც სამოღვაწეოდ პირველად მღვდლობა აირჩია. მართალია, ვალისს კლასიკური განათლება კარგი ჰქონდა, მაგრამ [[არითმეტიკა]]ს იგი შემთხვევით გაეცნო და მუშაობდა დასვენების დროს პირადი სიამოვნებისათვის. ვალისის რიცსვების დამახსოვრების არაჩვეულებრივი უნარი ჰქონდა. ერთ უძილო ღამეს მან აზრით გამოთვალა 53-ნიშნიანი რიცხვიდან კვადრატული [[ფესვი (მათემატიკა)|ფესვი]]ს 27 [[ციფრი]] და დილით გაიმეორა. ვალისი [[მათემატიკა]]ში ეწეოდა თვითგანვითარებას და კითხულობდა მათემატიკურ ნაშრომებს, რომლებსაც ის შემთხვევით წააწყდებოდა ხოლმე. პირველად გაეცნო [[კავალიერი ბონავენტურა|კავალიერი]]ს [[უსასრულოდ მცირე|უსასრულოდ მცირეთა]] აღრიცხვის საკითხებს, შემდეგ კი [[დეკარტი რენე|დეკარტი]]ს „გეომეტრიას“,ხოლო ძველი საბერძნეთის მათემატიკოსების ნაშრომებს გაეცნო უფრო გვიან. რამდენიმე წლის შემდეგ მან [[მღვდლობა]]ს თავი დაანება და კემბრიჯში მოეწყო უმცროს მასწავლებლად; მალე მან ამ თანამდებობაზეც უარი თქვა, დაქორწინდა და რამდენიმე ხანი ცხოვრობდა ლონდონში საკუთარი სახსრებით. აქ ვალისი მეცნიერთა წრეში მოექცა და განაგრძო მათემატიკაში მუშობა. მონაწილეობას იღებდა პოლიტიკურ ცხოვრებაშიც, თუმცა პოლიტიკაში მას უპრინციპობა ახასიათებდა: რევოლუციონერებთანაც კარგად იყო და რეაქციონერებთანაც. 1649 წელს ვალისი პროფესორი გახდა და ოქსფორდში მიიღო გეომეტრიის კათედრა. ამ თანამდებობასთან ერთად მან მიიღო მეფის სასახლის მღვდლის თანამდებობაც. ვალისი აგრეთვე გამოჩენილი ლინგვისტიც იყო.
 +
 
 +
ვალისის მთავარი ნაშრომი: „უსასრულო სიდიდეთა არითმეტიკა“ გამოქვეყნდა 1665 წელს. იმ გამოსახვის გამოთვლა, რომელსაც ჩვენ ახლა ვწერთ [[ფაილი:Valisi 1.png|60px|]] სახით, ვალისს მოჰყავს
 +
 
 +
 
 +
::::::::::::::::[[ფაილი:Valisi 2.png|200px|]]
 +
 
 +
[[ფაილი:Valisi naxazi.png|200px|]]
 +
გამოთვლამდე, როდესაც m უსაზღვროდ იზრდება და იმავე დროს [[მნიშვნელი (მათემატიკა)|მნიშვნელი]]ს წევრთა რიცხვზე ყოველთვის 1-ით ნაკლები რჩება.
 +
n = 2 და n = 3 მნიშვნელობებისათვის ვალისი თანდათანობით იღებს m-ის მეტ და მეტ მნიშვნელობებს და [[ინდუქცია|ინდუქციური]] ხერხით გვიჩვენებს, რომ [[წილადი]] უდრის [[ფაილი:Valisi 3.png|40px|]]-ს მიმატებული ის სიდიდე, რომელიც m-ის გადიდებით ყოველ მოცემულ სიდიდეზე ნაკლები ხდება.
 +
 
 +
ეს შედეგი მან გაავრცელა n-ის წილად და უარყოფით მნიშვნელობებზე და ჩაატარა ისე, რომ წილადი და უარყოფითი მაჩვენებლების აღნიშვნები არ გამოუყენებია.
 +
 
 +
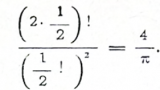
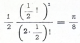
შესანიშნავია ვალისის π-ის გამოთვლის მეთოდი. ეს საკითხი მას მიჰყავს [[ფაილი:Valisi 4.png|90px|]]- ის გამოთვლისაკენ, ესე იგი ისეთი ინტეგრალისა, რომელიც ერთის ტოლი დიამეტრით ნახევარი წრის ფართობს წარმოადგენს და ამის გამო [[ფაილი:Valisi 6.png|20px|]]-ს უდრის:
 +
 
 +
 
 +
::::::::::::::::[[ფაილი:Valisi 7.png|230px|]]
 +
 
 +
 
 +
ვალისმა ამას საფუძვლად დაუდვა ის რომ, როცა y=x<sup><small>n</small></sup>, მაშინ
 +
 
 +
 
 +
::::::::::::::::[[ფაილი:Valisi 8.png|260px|]]
 +
 
 +
 
 +
ეს ორი ინტეგრალი წარმოადგენს ორ [[ფართობი (გეომეტრია)|ფართობს]], რომლებზედაც [[პარაბოლა]] y=x<sup><small>n</small></sup> გაჰყოფს xy [[მართკუთხედი|მართკუთხედს]]. მეორე ფართობს მივიღებთ, თუ xy-ს გამოვაკლებთ პირველს.
 +
 
 +
ვალისი იწყებს იქედან, რომ კოეფიციენტებს ალაგებს xy-თან ინტეგრალებში [[ფაილი:Valisi 9.png|150px|]] ტაბულის სახით, რომლისსვეტები შეესაბამება p მაჩვენებლის მნიშვნელობებს 0, 1, 2, 3,..., ხოლო სტრიქონები q-ს მნიშვნელობებს 1, 2, 3, ...
 +
::::::::ტაბულა ასე იწყება
 +
 
 +
 
 +
::::::::::::::::[[ფაილი: Valisi naxazi 2.png|260px|]]
 +
 
 +
 
 +
 
 +
[[ფაილი:Valisi 01.png|90px|]] გამოთვლას ვალისი იწყებს [[ფაილი:Valisi 02.png|100px|]]-ის გამოთვლიდან, სადაც n მთელი დადებითი რიცხვია. ვალისი პოულობს:
 +
 
 +
 
 +
::::::::::::::::[[ფაილი: Valisi 03.png|260px|]]
 +
 
 +
 
 +
 
 +
და ასე შემდეგ; ვალისი, მისთვის ჩვეული ინდუქციის საშუალებით, დაასკვნის, რომ საზოგადოდ, როდესაც მთელი დადებითი რიცხვია
 +
 
 +
 
 +
::::::::::::::::[[ფაილი:Valisi 04.png|160px|]]
 +
 
 +
 
 +
 
 +
[[ფაილი:Valisi 05.png|100px|]] მნიშვნელობის ანუ [[ფაილი:Valisi 6.png|20px|]]-ის განსაზღვრისათვის ეძებს მთელი დადებითი n-თვის ცნობილ [[ფაილი:Valisi 06.png|100px|]] სიდიდეებიდან ინტერპოლირებულ მნიშვნელობას, როდესაც [[ფაილი:Valisi 07.png|40px|]],
 +
 
 +
ე.ი.
 +
 
 +
::::::::::::::::[[ფაილი:Valisi 08.png|160px|]]
 +
 
 +
ანუ
 +
 
 +
::::::::::::::::[[ფაილი:Valisi 09.png|160px|]]
 +
 
 +
 
 +
აღნიშვნა ― მათემატიკაში შემოიყვანა უფრო გვიან ვილერმა და ამიტომ ვალისი [[ფაილი:Valisi 001.png|20px|]] სიდიდეს აღნიშნავს ნაკვთით [[ფაილი:Valisi 6.png|20px|]] <big>□</big>. სიდიდეები [[ფაილი:Valisi 002.png|40px|]], რომელთა შორის უნდა მოხდეს ინტერპოლირება, ბინომიალური კოეფიციენტებია, სახელდობრ შუა წევრის კოეფიციენტები, როდესაც მაჩვენებელი 21-ის ტოლია. ყველა ბინომიალური კოეფიციენტი ანუ რიცხვი, რომლებსაც ახლა ჩავწერთ [[ფაილი:Valisi 003.png|50px|]] სახით და რომლებსაც ვალისი ინტერპოლაციისათვის იყენებს, ძირითადად მოცემულია პასკალის ტაბულაში (არითმეტიკული სამკუთხედის შესახებ ნაშრომში). ამ ტაბულებს ვალისი აფართოებს, სვამს რა p და q-ს მთელ დადებითმნიშვნელობებიან სტრიქონებსა და სვეტებში კიდევ ახალ სტრიქონებს და სვეტებს, რომლებიც შეესაბამებიან მნიშვნელობებს  [[ფაილი:Valisi 004.png|100px|]] და აფართოებს მათ შექცეული მხრითაც, უმატებს რა სტრიქონს [[ფაილი:Valisi 005.png|60px|]] და სვეტს [[ფაილი:Valisi 006.png|60px|]] გაფართოებული ტაბულის ახალი რუბრიკები თანდათან ივსება რიცხვებით, რომლებსაც ვალისი ადგენს საწყის ტაბულაში მოცემული კანონის განზოგადებით.
 +
 
 +
 
 +
 
  
  
  
 
==წყარო==
 
==წყარო==
[[მათემატიკის ენციკლოპედიური ლექსიკონი]]
+
[[მეთემატიკის ისტორია]]
  
 
[[კატეგორია:მათემატიკოსები]]
 
[[კატეგორია:მათემატიკოსები]]
 
[[კატეგორია:ინგლისელი მათემატიკოსები]]
 
[[კატეგორია:ინგლისელი მათემატიკოსები]]

16:39, 26 იანვარი 2026-ის ვერსია

ვალისი ჯონი (ინგლ. John Wallis; 23 ნოემბერი (3 დეკემბერი) 1616 — 28 ოქტომბერი (8 ნოემბერი) 1703), ინგლისელი მათემატიკოსი;

ჯონ ვალისი დაიბადა 1616 წელს ქენტში (ინგლისი). მამა მღვდელი იყო და შვილსაც სასულიერო განათლება მიაღებინა; ჯონიმაც სამოღვაწეოდ პირველად მღვდლობა აირჩია. მართალია, ვალისს კლასიკური განათლება კარგი ჰქონდა, მაგრამ არითმეტიკას იგი შემთხვევით გაეცნო და მუშაობდა დასვენების დროს პირადი სიამოვნებისათვის. ვალისის რიცსვების დამახსოვრების არაჩვეულებრივი უნარი ჰქონდა. ერთ უძილო ღამეს მან აზრით გამოთვალა 53-ნიშნიანი რიცხვიდან კვადრატული ფესვის 27 ციფრი და დილით გაიმეორა. ვალისი მათემატიკაში ეწეოდა თვითგანვითარებას და კითხულობდა მათემატიკურ ნაშრომებს, რომლებსაც ის შემთხვევით წააწყდებოდა ხოლმე. პირველად გაეცნო კავალიერის უსასრულოდ მცირეთა აღრიცხვის საკითხებს, შემდეგ კი დეკარტის „გეომეტრიას“,ხოლო ძველი საბერძნეთის მათემატიკოსების ნაშრომებს გაეცნო უფრო გვიან. რამდენიმე წლის შემდეგ მან მღვდლობას თავი დაანება და კემბრიჯში მოეწყო უმცროს მასწავლებლად; მალე მან ამ თანამდებობაზეც უარი თქვა, დაქორწინდა და რამდენიმე ხანი ცხოვრობდა ლონდონში საკუთარი სახსრებით. აქ ვალისი მეცნიერთა წრეში მოექცა და განაგრძო მათემატიკაში მუშობა. მონაწილეობას იღებდა პოლიტიკურ ცხოვრებაშიც, თუმცა პოლიტიკაში მას უპრინციპობა ახასიათებდა: რევოლუციონერებთანაც კარგად იყო და რეაქციონერებთანაც. 1649 წელს ვალისი პროფესორი გახდა და ოქსფორდში მიიღო გეომეტრიის კათედრა. ამ თანამდებობასთან ერთად მან მიიღო მეფის სასახლის მღვდლის თანამდებობაც. ვალისი აგრეთვე გამოჩენილი ლინგვისტიც იყო.

ვალისის მთავარი ნაშრომი: „უსასრულო სიდიდეთა არითმეტიკა“ გამოქვეყნდა 1665 წელს. იმ გამოსახვის გამოთვლა, რომელსაც ჩვენ ახლა ვწერთ Valisi 1.png სახით, ვალისს მოჰყავს


Valisi 2.png

Valisi naxazi.png გამოთვლამდე, როდესაც m უსაზღვროდ იზრდება და იმავე დროს მნიშვნელის წევრთა რიცხვზე ყოველთვის 1-ით ნაკლები რჩება. n = 2 და n = 3 მნიშვნელობებისათვის ვალისი თანდათანობით იღებს m-ის მეტ და მეტ მნიშვნელობებს და ინდუქციური ხერხით გვიჩვენებს, რომ წილადი უდრის Valisi 3.png-ს მიმატებული ის სიდიდე, რომელიც m-ის გადიდებით ყოველ მოცემულ სიდიდეზე ნაკლები ხდება.

ეს შედეგი მან გაავრცელა n-ის წილად და უარყოფით მნიშვნელობებზე და ჩაატარა ისე, რომ წილადი და უარყოფითი მაჩვენებლების აღნიშვნები არ გამოუყენებია.

შესანიშნავია ვალისის π-ის გამოთვლის მეთოდი. ეს საკითხი მას მიჰყავს Valisi 4.png- ის გამოთვლისაკენ, ესე იგი ისეთი ინტეგრალისა, რომელიც ერთის ტოლი დიამეტრით ნახევარი წრის ფართობს წარმოადგენს და ამის გამო Valisi 6.png-ს უდრის:


Valisi 7.png


ვალისმა ამას საფუძვლად დაუდვა ის რომ, როცა y=xn, მაშინ


Valisi 8.png


ეს ორი ინტეგრალი წარმოადგენს ორ ფართობს, რომლებზედაც პარაბოლა y=xn გაჰყოფს xy მართკუთხედს. მეორე ფართობს მივიღებთ, თუ xy-ს გამოვაკლებთ პირველს.

ვალისი იწყებს იქედან, რომ კოეფიციენტებს ალაგებს xy-თან ინტეგრალებში Valisi 9.png ტაბულის სახით, რომლისსვეტები შეესაბამება p მაჩვენებლის მნიშვნელობებს 0, 1, 2, 3,..., ხოლო სტრიქონები q-ს მნიშვნელობებს 1, 2, 3, ...

ტაბულა ასე იწყება


Valisi naxazi 2.png


Valisi 01.png გამოთვლას ვალისი იწყებს Valisi 02.png-ის გამოთვლიდან, სადაც n მთელი დადებითი რიცხვია. ვალისი პოულობს:


Valisi 03.png


და ასე შემდეგ; ვალისი, მისთვის ჩვეული ინდუქციის საშუალებით, დაასკვნის, რომ საზოგადოდ, როდესაც მთელი დადებითი რიცხვია


Valisi 04.png


Valisi 05.png მნიშვნელობის ანუ Valisi 6.png-ის განსაზღვრისათვის ეძებს მთელი დადებითი n-თვის ცნობილ Valisi 06.png სიდიდეებიდან ინტერპოლირებულ მნიშვნელობას, როდესაც Valisi 07.png,

ე.ი.

Valisi 08.png

ანუ

Valisi 09.png


აღნიშვნა ― მათემატიკაში შემოიყვანა უფრო გვიან ვილერმა და ამიტომ ვალისი Valisi 001.png სიდიდეს აღნიშნავს ნაკვთით Valisi 6.png . სიდიდეები Valisi 002.png, რომელთა შორის უნდა მოხდეს ინტერპოლირება, ბინომიალური კოეფიციენტებია, სახელდობრ შუა წევრის კოეფიციენტები, როდესაც მაჩვენებელი 21-ის ტოლია. ყველა ბინომიალური კოეფიციენტი ანუ რიცხვი, რომლებსაც ახლა ჩავწერთ Valisi 003.png სახით და რომლებსაც ვალისი ინტერპოლაციისათვის იყენებს, ძირითადად მოცემულია პასკალის ტაბულაში (არითმეტიკული სამკუთხედის შესახებ ნაშრომში). ამ ტაბულებს ვალისი აფართოებს, სვამს რა p და q-ს მთელ დადებითმნიშვნელობებიან სტრიქონებსა და სვეტებში კიდევ ახალ სტრიქონებს და სვეტებს, რომლებიც შეესაბამებიან მნიშვნელობებს Valisi 004.png და აფართოებს მათ შექცეული მხრითაც, უმატებს რა სტრიქონს Valisi 005.png და სვეტს Valisi 006.png გაფართოებული ტაბულის ახალი რუბრიკები თანდათან ივსება რიცხვებით, რომლებსაც ვალისი ადგენს საწყის ტაბულაში მოცემული კანონის განზოგადებით.




წყარო

მეთემატიკის ისტორია

პირადი ხელსაწყოები
სახელთა სივრცე

ვარიანტები
მოქმედებები
ნავიგაცია
ხელსაწყოები