კეპლერი იოჰანეს

NPLG Wiki Dictionaries გვერდიდან
(გადმომისამართდა იოჰანეს კეპლერი-დან)
გადასვლა: ნავიგაცია, ძიება
იოჰანეს კეპლერი

იოჰანეს კეპლერი – (გერმ. Johannes Kepler, (1571-1630 წ.), გერმანელი ასტრონომი და მათემატიკოსი.

სარჩევი

ბიოგრაფია

იოჰან კეპლერი დაიბადა ვაილში (ვიურტენბერგში). დაწყებითი განათლება მიიღო თავის სამშობლოში, მონასტრის სკოლაში, სადაც ის სწავლობდა არითმეტიკასა და სფერულ ასტრონომიას. შემდეგ ის სწავლობდა ტიუბინგენში. აქ მისი მათემატიკის და ასტრონომიის მასწავლებელი იყო მესტლინი — კოპერნიკის სისტემის მომხრე, თუმცა თვითონ, ეშინოდარა ეკლესიისა, ლექციებს პტოლომეოსის სისტემის მიხედვით კითხულობდა.

Kipleri 2.PNG

კეპლერი თვითონ მორწმუნე იყო, მაგრამ იმის გამო, რომ ის ეკლესიის დესპოტობას არ ემორჩილებოდა, თავის სამშობლოში სამუშაო ადგილის შოვნის იმედი დაჰკარგა და გადასახლდა გრაცში, სადაც 1594 წელს დაიწყო „მათემატიკისა და მორალის“ პროფესორად მუშაობა. ეკლესიამ ის იქიდანაც განდევნა და 1600 წელს ასტრონომ ტიხო ბრაჰეს მიწვევით პრაღაში გაემგზავრა, ტიხო ბრაჰე იმპერატორის სასახლის ასტრონომად მუშაობდა, ხოლო კეპლერი — მის თანაშემწედ. ტიხო ბრაგეს სიკვდილის შემდეგ კი კეპლერმა მისი ადგილი დაიკავა.

1612 წელს კეპლერი ლინცში გადაიყვანეს. აქაც ის იმპერატორის სასახლის ასტრონომად დარჩა, მაგრამ არ აძლევდნენ იმდენ ხელფასს, რამდენიც ეკუთვნოდა, ამიტომ იძულებული იყო საარსებო საშუალება მოეპოებია სხვადასხვა წვრილმანი ასტრონომიული და ასტროლოგიური ხასიათის სამუშაოთი ამასთანავე იგი აქაც განიცდიდა ეკლესიისაგან დევნას. რადგან იმპერატორმა არ დააკმაყოფილა კეპლერის სამართლიანი მოთხოვნები ხელფასის საკითხში, ის იძულებული გახდა იმპერატორის სასახლეში სამსახურისათვის თავი დაენებებია და გადასულიყო ვალენშტეინთან, რომელსაც ასტრონომია აინტერესებდა იმდენად, რამდენადაც ის მის ასტროლოგიულ ცრუმორწმუნოებას აკმაყოფილებდა. კეპლერი გარდაიცვალა რეგენსბურგში, სადაც იგი გაემგზავრა, იმპერატორისაგან თავისი (კუთვნილი ხელფასის მისაღებად რეიხსტაგის საშუალებით.

ასტრონომია

იოჰან კეპლერი უპირველესად ასტრონომი იყო და მისი მთავარი დამსახურებაც მეცნიერების ამ სფეროს მიეკუთვნება. იგი არის პლანეტების მოძრაობის სამი არაჩვეულებრივად მნიშვნელოვანი კანონის აღმომჩენი. ეს კანონები განსაზღვრავდნენ პლანეტათა მოძრაობის გზებს და მზიდან მათი დაშორების მიხედვით გარშემოვლის დროს. ეს კანონები შემდგომში გავრცელებულ იქნა კოსმოსურ სივრცეში არსებულ ყველა ციურ სხეულზე.

ფიზიკა

კეპლერის დამსახურებები ფიზიკის სფეროში არცთუ საკმაოდ დიდია, თუმცა მათი მოხსენიება საჭიროა. როგორც ფიზიკოსი იგი ოპტიკაში მოღვაწეობდა და აქ ახალი სიტყვაც თქვა. ოპტიკის პრობლემებს იხილავდა გეომეტრიული გზით. გეომეტრიის საფუძველზე გამოიკვლია სინათლის სხივების სწორხაზოვნება, აგრეთვე სინათლის არეკვლისა და გარდატეხის მოვლენები. შეისწავლა სხივების შესვლა ჭოგრში და მის გაუმჯობესებაზე მუშაობდა.

ამ გამოკვლევების შედეგი იყო ორი მეცნიერული ტრაქტატი ოპტიკაში. განმარტა მოვლენა რომელიც კამერა-ობსკურაში ხდებოდა. აღმოაჩინა გამოთვალა და მოგვცა სინათლის შემცირების კანონი. ამ კანონის მიხედვით სინათლის ინტენსივობა უკუპროპორციულია სინათლის წყაროდან გასანათებელ ზედაპირამდე მანძილის კვადრატისა.

ღვინის კასრების ახალი სტერეომეტრია

ინტეგრალური აღრიცხვის გამოგონებამდე ინტეგრების საქმეში ძველი დროის მათემატიკოსებიდან პირველი ნაბიჯი არქიმედემ გადადგა. სიმძიმის ცენტრის მოძებნის, ფართობებისა და მოცულობების გამოთვლის ხერხებით მან ინტეგრალური აღრიცხვის მეთოდებს დაასწრო. ახალი დროის მათემატიკოსებიდან პირველად კეპლერმა დაიწყო ინტეგრალების საშუალებით ზოგიერთი ამოცანის ამოხსნა. მან შეისწავლა არქიმედეს ნაშრომები, მაგრამ მის მიერ გამოყენებული ხერხები არ მოეწონა და საკუთარი მეთოდით ამოხსნა ის ამოცანებიც, რომლებიც არქიმედეს ამოხსნილი ჰქონდა ამოწურვის მეთოდით. კეპლერის აზრით, ამოწურვის მეთოდით დამტკიცება მეტად გრძელი და მოსაბეზრებელია: ამიტომ მას სავსებით უვლის გვერდს და უშუალოდ შემოჰყავს უსასრულოდ მცირე სიდიდეები. უარყოფს რა ძველი საბერძნეთის მათემატიკოსების დამტკიცების მკაცრ მეთოდს, კეპლერი კმაყოფილდება ისეთი მსჯელობით, რომელიც ამა თუ იმ წინადადების „ალბათობას“ აწესებს. თავის ნაშრომში — „ღვინის კასრების სტერეომეტრია“ — სინამდვილეს წრის ფართობის შესახებ არქიმედეს თეორემისა: „წრის ფართობი უდრის ისეთი მართკუთხა სამკუთხედის ფართობს, რომლის ერთი კათეტი წრის რადიუსის ტოლია, მეორე კი წრეწირის სიგრძის“ — კეპლერი შემდეგნაირად გვიჩვენებს: წრეწირს იმდენი ნაწილი აქვს, რამდენი წერტილიცაა მასზე, სახელდობრ, უსასრულოდ მრავალი. თითოეულ ნაწილს განვიხილავთ როგორც ფუძეს ტოლფერდა სამკუთხედისას. რომელსაც წვერო ცენტრში აქვს. დამტკიცების ნაცვლად კეპლერი, როგორც სხვა შემთხვევებში, აქაც ეყრდნობა თვალსაჩინოებას. გავჭრათ წრე OA რადიუსის გასწვრივ (ნახ. 2) და მოვახდინოთ მისი დეფორმირება ისე, რომ წრის მცირე სამკუთხედი OAB გარდაიქმნას OAB1 OAB სამკუთხედად, OBC სამკუთხედი — OB1C1 სამკუთხედად და ასე შემდეგ; დასასრულს 0RA სამკუთხედი — OR1M სამკუთხედად; ამრიგად, წრე უშუალოდ გარდაიქმნება OAM სამკუთხედად.

ნახაზი 2
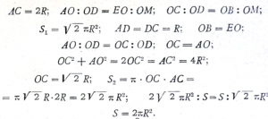
ამგვარად პოულობს კეპლერი სფეროს მოცულობასაც. ის ამბობს, რომ „თითქოს“ სფერო შეიცავს უსასრულოდ მრავალ კონუსს, რომელთა წვეროები ცენტრში მდებარეობენ, ფუძეები კი სფეროს ზედაპირზე. კეპლერის მიერ წარმოებული სფეროს ზედაპირის გამოთვლაც ეყრდნობა ზუსტ დამტკიცებას კი არა, არამედ „ალბათობას“; ის ამბობს: „ნახევარსფეროს ზედაპირი ალბათ უდრის დიდი წრის გაორკეცებულ ფართობს, ვინაიდან ჩახაზული წრიული კონუსის გვერდის ზედაპირი უდრის Kepleri1.png-სა და დიდი წრის ფართობის ნამრავლს, ხოლო შემოხაზული კონუსის
ნახაზი 3
Kepleri 3.png-სა და დიდი წრის ფართობის ნამრავლს; რადგან სფეროს ნახევრის ზედაპირი მათ შორის მდებარეობს, ამიტომ, ბუნებრივია, რომ ის ტოლია ამ ორ სიდიდეთა შორის საშუალო პროპორციულის; მართლაც, ნახევარსფეროს ზედაპირი S-ით აღვნიმნოთ, ჩახაზული კონუსის გვერდის ზედაპირი — S1-ით, ხოლო შემოხაზული კონუსის გვერდის ზედაპირი — S2-თი (ნახ. 3), მაშინ:
Kepleri 4.png

„ღვინის კასრების ახალი სტერეომეტრიის“ იმ ნაწილში, რომელსაც უწოდებს „არქიმედესადმი დამატებას“, კეპლერი განსაზღვრავს მოცულობას ეგრეთ წოდებულ ტორის ანუ სხეულისა, რომელიც შექმნილია წრის ბრუნვით ისეთი ღერძის (MN) გარშემო (ნახ. 4), რომელიც ამ წრეს არ გადაკვეთს (შეიძლება ეxებოდეს მხოლოდ).

ნახაზი 4

კეპლერი ამტკიცებს, რომ ტორის მოცულობა უდრის ისეთი ცილინდრის მოცულობას, რომლის ფუძე არის მბრუნავი წრე და სიმაღლე უდრის ამ წრის ცენტრით შემოხაზული წრეწირის სიგრძეს. ამის დასამტკიცებლად ის ტორს ჰყოფს მერიდიანული სიბრტყეების საშუალებით უსასრულოდ მრავალ წაკვეთილ ცილინდრებად. თითოეულ ასეთ ცილინდრს სხვადასხვა წერტილში სხვადასხვა სისქე აქვს; ეს სისქე იმდენად კლებულობს წრის C ცენტრიდან B წერტილამდე ტორის ცენტრის A-ს მიმართულებით, რამდენადაც ის მატულობს ტორის წრეწირის D წერტილამდე. ამის გამო მან დაუშვა, რომ ელემენტარულ ცილინდრებს ყველა წერტილში აქვს ერთი და იგივე სისქე, რომელიც უდრის საშუალო სისქეს ანუ მბრუნავი წრის ცენტრის სისქეს. ამგვარად მიღებულ უსასრულოდ მცირე სიმაღლის ელემენტარული ცილინდრების შეჯამება იძლევა ტორის ტოლდიდ ცილინდრს.

ნახაზი 5

კეპლერი რამდენიმე წელი ცხოვრობდა ლინცში, დუნაის ნაპირზე. იქ ამზადებდნენ ღვინის კასრებს და ხშირად აკვირდებოდა, თუ როგორ განსაზღვრავდნენ კასრების გამყიდველები ჭოგრის საშუალებით კასრის მოცულობას; ეს ხერხი კეპლერს გაცილებით უფრო არაზუსტად მოეჩვენა, ვიდრე რეინში ხმარებული, და გადაწყვიტა, თვითონ გამოეგონებია კასრის მოცულობის განსაზღვრის უფრო ზუსტი საშუალება. ამ ნიადაგზე წარმოიშვა მისი ნაშრომი „ღვინის კასრების ახალი სტერეომეტრია“.

ნახაზი 6

ამ ნაშრომის შესავალში კებლერი განიხილავს სხეულის რამდენიმე ბრუნვის ზოგად ფორმებს, მათ შორის ერთს უწოდებს „ვაშლს“, რომელიც მიიღება ნახევარ წრეზე მეტი წრის სეგმენტის ბრუნვით თავისი ქორდის გარშემო. ვაშლის მოცულობის გამოსათვლელად კეპლერი ორ ხერხს ხმარობს. პირველი ხერხის საშუალებით ვაშლი დეფორმირებულია ცილინდრულ ტანად, მაგრამ ამ უკანასკნელის მოცულობა კეპლერმა ვერ განსაზღვრა და ამიტომ შედეგს არავითარი პრაქტიკული ღირებულება არა აქვს, მეორე ხერხი კი უფრო გასაგებია და ამავე დროს გამოსადეგი, მისი გადმოცემა შემდეგნაირად შეიძლება:

MN ქორდის გარშემო მბრუნავი წრის CE ქორდა (MN-ის პარალელური) შემოხაზავს ცილინდრულ ზედაპირს (ნახ. 5). ვაშლი (ნახ. 6) მთლიანად შედგება ასეთი ზედაპირებისაგან ანუ, როგორც მათ კეპლერი უწოდებს, ტუნიკებისაგან (tunicae), რომლებიც შეიძლება განხილულ იქნან როგორც „განუყოფელები“ ზედაპირების სისქეს კეპლერი უგულვებელყოფს. თუ ვაშლს გავჭრით (ნახ. 6) და ქორდას ხელუხლებლად დავტოვებთ NMCDE სიბრტყეში, ხოლო ზედაპირს გავშლით სიბრტყის მართობულ სიბრტყეზე, მივიღებთ მართკუთხედს, რომლის ფუძე იქნება CE, სიმაღლე კი OB-რადიუსიანი წრეწირის სიგრძის ტოლი იქნება. ყველა ეს მართკუთხედი, ერთმანეთის გვერდით დადგმული, ცილინდრულ მონაკვეთს შექმნის. კეპლერის ეს გარდაქმნა გამოსადეგია იმისათვის, რომ თანამედროვე სიმბოლოების საშუალებით გამოვთვალოთ ვაშლის მოცულობა და აღვნიშნოთ V-თი. კოორდინატთა სათავედ ივიღოთ 0 წერტილი (ნახ. 5), აბსცისათა ღერძად მივიღოთ OD და ორდინატთა ღერძად NM; C წერტილის მიმდინარე კოორდინატები აღვნიშნოთ x-ით და y-ით. ვთქვათ, OA = d და AD = r, მაშინ წრეწირის განტოლება იქნება


(x-d)2+ y² =r²;


თითოეული ტუნიკის ანუ ზედაპირის ფართობი იქნება


2y.2xπ =4 хуπ.


ვაშლის V მოცულობას მივიღებთ როგორც ყველა ტუნიკის ჯამს; ასე რომ,


Kepleri 5.png


დავუშვათ, რომ x — d = ς, მაშინ dx = dς, და


Kepleri 6.png


აქ პირველი შესაკრები სფეროს მოცულობაა, ხოლო მეორე — ცილინდრის სეგმენტის. აღვნიშნოთ კიდევ NMCDE სეგმენტის სიმძიმის ცენტრი P-თი და დავუშვათ, რომ OP = p; 2y. x წარმოადგენს ცალ-ცალკე აღებული თითოეული განუყოფელი სეგმენტის ანუ MN ქორდის პარალელური თითოეული ქორდის მომენტს სიმძიმის ცენტრის განსაზღვრის თანახმად


Kepleri 7.png


მაგრამ ჩვენ გვქონდა, რომ ვაშლის მოცულობა


Kepleri 8.png


საიდანაც


Kepleri 9.png


ამიტომ ვაშლის მოცულობა


V = სეგ: NMCDE x 2πp,


ესე იგი ვაშლის მოცულობა უდრის მბრუნავი სეგმენტის ფართობს გამრავლებულს იმ წრეწირის სიგრძეზე, რომელსაც შემოხაზავს სეგმენტის სიმძიმის ცენტრი.

ასეთივე ხერხით განსაზღვრავს კეპლერი აგრეთვე წრის ნახევარზე ნაკლები სეგმენტის ბრუნვით (ქორდის გარშემო) მიღებული სხეულის ანუ, როგორც მას უწოდებს, „ლიმონის“ მოცულობას. ადვილად შევამჩნევთ, რომ თუ ამ სხეულებს — ვაშლსა და ლიმონს — ბოლოებს წავაჭრით, მივიღებთ სხეულებს, რომელთაც ექნებათ კასრის ფორმა.

კეპლერის გამოთვლით Kepleri 9.png ამისათვის მან შეადგინა sin 1°, sin 2°, sin 3°.. sin 90° მნიშვნელობების ტაბულები და მათი შეჯამების საშუალებით იპოვა, რომ x = 90° მნიშვნელობისათვის ინტეგრალი ერთის ტოლია, ხოლო დანარჩენ მნიშვნელობათათვის — 1- cos x-ის, ესე იგი, ჩვენებურად თუ ჩავწერთ, მან იპოვა, რომ


Kep kep.png


1 - cos x-ის მაშინდელი სახელწოდება იყო sinusversus (სინუსვერზუსი), ასე რომ, კეპლერის გამოთვლით,

Kepleri 02.png

XVI-XVII საუკუნეების მათემატიკოსებმა მხების გავლებისა და მაქსიმუმსა და მინიმუმზე ამოცანების ამოხსნით ნიადაგი მოუმზადეს დიფერენციალური აღრიცხვის გამოგონებას. ამ საქმეში კეპლერსაც გარკვეული ღვაწლი მიუძღვის. თავის ნაშრომში, „ღვინის კასრების ახალი სტერეომეტრია“, მას მიზნად ჰქონდა დასახული ღვინის კასრების ისეთი ფორმის მოძებნა, რომ მათ ჰქონოდათ შესაძლო უდიდესი ტევადობა, ხოლო მათზე დახარჯული ხის მასალა რაც შეიძლება მცირე ყოფილიყო. ამან მიიყვანა ის საერთოდ მაქსიმალურ და მინიმალურ მნიშვნელობათა გამოკვლევამდე.

წყარო

პირადი ხელსაწყოები
სახელთა სივრცე

ვარიანტები
მოქმედებები
ნავიგაცია
ხელსაწყოები